¿Cómo puede utilizarse la matriz insumo-producto
para analizar los efectos multiplicadores
y los encadenamientos del sector pesquero?
Un ejercicio para un conjunto de países latinoamericanos
Isabela Sánchez Vargas
https://orcid.org/0000-0002-5269-7853
Universidad Nacional de Misiones, Facultad de Ciencias Económicas,
Misiones, Argentina
Ignacio Carciofi
https://orcid.org /0009-0001-2171-7305
Universidad de Buenos Aires, Facultad de Ciencias Económicas,
Departamento de Economía y CONICET-Universidad de Buenos Aires,
Instituto Interdisciplinario de Economía Política, Buenos Aires, Argentina
Recibido: 5 de septiembre del 2023 / Aceptado: 3 de diciembre del 2023
doi: https://doi.org/10.26439/ddee2024.n005.6634
RESUMEN. El sector pesquero en Argentina, Chile, México y Perú presenta ventajas naturales comparativas y un valor socioeconómico relativamente importante. Sin embargo, históricamente, la mayor parte de los esfuerzos de la política económica vinculada a la explotación de recursos naturales se ha concentrado en la gestión de actividades en otros sectores. Esto se debe, en parte, a la presunción de que el sector pesquero no cuenta con el potencial para generar efectos que impulsen al resto de sectores económicos. Asimismo, la evidencia empírica sobre los efectos multiplicadores y relaciones interindustriales de dicho sector para América Latina es escasa. En ese marco, el objetivo de esta investigación es valuar la importancia del sector pesquero en los principales países productores de la región. Para ello, se utilizan matrices insumo-producto (MIP) para estimar los efectos multiplicadores e indicadores de encadenamientos productivos en el sector. Además, los datos analizados corresponden a los últimos disponibles al momento de esta investigación, la cual está enmarcada en un proyecto del Inter-American Institute for Global Change Research. Finalmente, este estudio constituye un aporte a la literatura en tanto que presenta evidencia sobre la utilidad de este tipo de datos y la aplicación de metodologías para la valuación de los efectos económicos totales en la actividad pesquera y el análisis de sus relaciones interindustriales. Además, se muestra que un análisis a partir de la matriz insumo-producto puede ser útil para hacer política pública vinculada a la gestión económica de un recurso natural como es el proveniente de la pesca y la acuicultura.
PALABRAS CLAVE: pesca / matriz insumo-producto / multiplicadores / encadenamientos / América Latina
HOW CAN THE INPUT-OUTPUT MATRIX BE USED TO ANALYZE THE MULTIPLIER EFFECTS AND LINKAGES OF THE FISHING SECTOR? AN EXERCISE FOR A SET OF LATIN AMERICAN COUNTRIES
ABSTRACT. The fishing sector in Argentina, Chile, Mexico and Peru presents comparative natural advantages and a relatively important socioeconomic value. However, historically most of the policy linked to the exploitation of natural resources have focused their efforts on the management of other activities. This is due, in part, to the assumption that the sector does not have the potential to generate effects that boost the rest of the economy. However, the empirical evidence on its multiplier effects and inter-industrial relations for Latin America is scarce. Within this framework, the objective of this research is to carry out a methodological exercise that allows assessing the importance of the fishing sector in the main producing countries of the region. For this, multiplier effects and indicators of productive interlinkages are estimated based on input-output matrices. The data correspond to the latest available at the time of this research, which is framed in a project of the Inter-American Institute for Global Change Research. This study constitutes a contribution to the literature, as it presents evidence on the usefulness of this type of data and methodologies for the assessment of the total economic effects of the activity and the analysis of its interindustrial relations. Finally, this research shows that an analysis based on the input-output matrix can be very useful for policy linked to the economic management of a natural resource such as that from fishing and aquaculture.
KEYWORDS: fishing / input-output matrix / multipliers / linkages measures / Latin America
Códigos JEL: Q22, R15, 054
1. INTRODUCCIÓN1
América Latina posee ecosistemas marinos con abundantes especies de considerable valor económico. Cuenta con el sistema de la corriente de Humboldt (Chile, Perú y Ecuador), la plataforma patagónica (Argentina y Uruguay) y la plataforma sur de Brasil. Estos son tres de los más grandes ecosistemas marinos a nivel mundial, lo que implica una ventaja comparativa natural en lo que respecta a la producción pesquera.
Según la Organización de las Naciones Unidas para la Alimentación y la Agricultura (Food and Agriculture Organization [FAO], 2022), el sector pesquero marítimo de América Latina y El Caribe aportó más de 12,3 millones de toneladas de producción al año 2020, cuyos principales países fueron Perú (46 %), Chile (18 %), Argentina (17 %) y México (11 %).
Además, la actividad pesquera primaria es el medio de subsistencia e ingreso de alrededor de 2,6 millones de personas en la región (empleo directo).
Esta actividad tiene múltiples efectos indirectos en el resto de la economía por medio de los denominados encadenamientos productivos. Estos vínculos pueden ser hacia atrás, vía la demanda de insumos, así como también hacia delante, por la oferta de productos de pescado y demás productos pesqueros requeridos como insumos o bienes semielaborados por otras ramas de la actividad económica. En este sentido, se estima que, por cada empleo directo generado en el sector primario, se crean entre tres y cuatros puestos de trabajos relacionados con la pesca en actividades secundarias (FAO, 2012). No se toman en cuenta estas interrelaciones entre actividades económicas cuando se estudia la contribución del sector pesquero mediante los indicadores o variables convencionales (valor de captura o de desembarque), por lo que se suele subestimar su efecto total en la economía. A su vez, esto tiene implicancias en las políticas públicas de la región, ya que no siempre se valora correctamente al sector pesquero como un potencial polo de desarrollo, sino que se prioriza la promoción de otras actividades vinculadas con los recursos naturales distintos a los provenientes de la pesca y la acuicultura.
El estudio de la importancia relativa del sector pesquero y el análisis de sus encadenamientos productivos es un tema poco estudiado desde una perspectiva económica, no solo en los países latinoamericanos, sino también en otros, para los cuales el consumo de productos de la pesca y derivados es más significativo, como Inglaterra o China (Morrissey & O’Donoghue, 2013; Zhao, 2013). Dichos estudios dan cuenta de que el impacto total del sector pesquero en la economía es mucho mayor una vez que se consideran, además del efecto inicial y directo, los efectos indirectos e inducidos por dicha actividad económica. Los efectos multiplicadores se dan tanto en términos de ventas e ingreso, como de empleo (FAO, 2012). Los sectores más impactados por shocks en la pesca, en términos de producto y empleo, son los de energía, construcción, servicios, comercio y alimentación animal (Morrissey & O’Donoghue, 2013; Papathanasopoulou, 2013).
Asimismo, las investigaciones señalan que la pesca no opera en aislamiento, sino que está vinculada a otros sectores mediante la demanda de insumos y la oferta de sus productos como demanda intermedia (Cai et al., 2005; Morrissey & O’Donoghue, 2013). Las industrias manufactureras pesqueras muestran encadenamientos hacia atrás más sólidos debido a sus altos coeficientes de insumos, lo que sugiere que esta industria tiene un papel crucial en la economía al absorber productos de otros sectores y destinarse, principalmente, al consumo final (Morrissey & O’Donoghue, 2013). Según los autores consultados, los encadenamientos hacia delante son intensos para actividades primarias utilizadas como bienes intermedios. Sin embargo, Zhao (2013) asevera que la pesca de captura presenta encadenamientos débiles. Por otro lado, hay investigaciones que revelan sólidos vínculos entre subsistemas pesqueros. Por ejemplo, Morrissey y O’Donoghue (2013) muestran que hay una fuerte conexión entre industria procesadora, captura y comercio mayorista.
Entonces, la escasa producción académica sobre las ventajas del sector pesquero para América Latina, sus efectos multiplicadores y los encadenamientos coincide con el estado de situación antes descrito. Esto ocurre a pesar de que la pesca es importante, pues fomenta un entramado productivo mayor a la extracción primaria, genera divisas para los países de la región, provee de empleos relativamente bien remunerados y, lo que es más importante, la acuicultura presenta potencialidad de crecimiento en la región y en el mundo.
En este marco se considera relevante realizar una valoración socioeconómica del efecto total de la actividad pesquera en los principales países productores de América Latina y analizar las interrelaciones que ella presenta con los demás sectores económicos2. Cabe destacar que este trabajo aporta un análisis específico sobre el sector pesquero y, en ese sentido, se diferencia de estudios previos como los de Durán y Banacloche (2021), los cuales analizan los efectos multiplicadores y las interrelaciones económicas entre sectores de actividad de la región desde una perspectiva más general. Además, este artículo proporciona información valiosa sobre datos y metodologías alternativas a las utilizadas generalmente para el análisis del sector pesquero. Los resultados podrían ser útiles para el diseño y la evaluación de políticas de desarrollo, para cerrar la brecha de conocimiento acerca del empleo en dicho sector y para apoyar modelos económicos-ecológicos como el que realiza de forma pionera Jin et al. (2003), a través de investigaciones interdisciplinarias.
A continuación, el texto se encuentra organizado en siete secciones. En la segunda y tercera se presenta el marco conceptual de la investigación. En la cuarta y quinta se comenta la metodología y datos utilizados, respectivamente. Finalmente, en las secciones sexta y séptima, se presentan los resultados y principales conclusiones del estudio.
2. EL MODELO INSUMO-PRODUCTO Y EFECTOS MULTIPLICADORES
Existen dos enfoques de modelos de insumo-producto (IO, por input-output): de demanda (Leontief) y de oferta (Ghosh). Estos se distinguen por la relación estudiada. Leontief relaciona la producción bruta de cada sector y la demanda final; mientras que Ghosh asocia la producción bruta de cada sector y los insumos demandados al resto de la economía (Miller & Blair, 2009).
2.1 Modelo IO: enfoque de demanda
Según Miller y Blair (2009), el enfoque de la demanda del modelo IO parte del supuesto de que la economía puede ser categorizada en una determinada cantidad de sectores y la producción total de cada uno de ellos se distribuye entre consumo intermedio y demanda final (consumo de los hogares, inversión del sector privado, gasto del Gobierno y exportaciones), como se muestra a continuación:

Donde xi es la producción total del sector; i, zij y fi son, respectivamente, el consumo intermedio de los productos de i por parte del sector j y la demanda final de la producción del sector i3.
La forma en la que se distribuye la producción se repite para cada uno de los sectores y se puede definir a partir de la siguiente ecuación matricial:

Donde x y f son vectores columna de dimensión (n * 1); Z es una matriz de dimensión (n * n); i es un vector columna de unos.
El sistema puede ser representado a partir de la siguiente ecuación matricial:

Donde A es la matriz de coeficientes técnicos; aij al coeficiente técnico (aij = zij / xj); I es una matriz identidad de dimensión (n * n).
La solución de dicho sistema de ecuaciones única, si existe la matriz inversa de Leontief o matriz de requerimientos totales4, (I - A)-1 = L = [lij], es la siguiente:

Este modelo se basa en los siguientes supuestos (Comisión Económica para América Latina y El Caribe [CEPAL], 2005; Miller & Blair, 2009; Seung & Waters, 2006): homogeneidad sectorial, precio homogéneo por producto, tecnología de Leontief, oferta perfectamente elástica y sustitución imperfecta en la producción y el consumo.
2.2 El modelo IO por el lado de la oferta
En términos formales, siguiendo a Miller y Blair (2009), el modelo de Ghosh parte del supuesto de que la economía puede ser categorizada en diversos sectores y que la producción total de cada uno de ellos se distribuye entre consumo intermedio y valor agregado, como se muestra a continuación:

Donde xj es la producción total del sector j; zij y vj son el consumo intermedio de productos del sector i por parte del sector j y el valor agregado del sector j, respectivamente.
La forma de distribución se repite en cada sector y se puede definir a partir de la siguiente ecuación matricial:

Donde x’ y v’ son vectores fila de dimensión (1 * n); Z es una matriz de dimensión (n * n); i’ es un vector fila de unos. Además, denominando B a la matriz de coeficientes de asignación, bij al coeficiente de asignación bij = (zij / xi) e I a una matriz identidad de dimensión (n * n), el sistema puede ser representado a partir de la siguiente ecuación matricial:

Si existe la matriz inversa de Ghosh o matriz del producto5 (I - B)-1 = G = [gij], la solución de dicho sistema de ecuaciones única es la siguiente:

Este modelo se basa en los siguientes supuestos (Miller & Blair, 2009; Seung & Waters, 2006): cada industria produce diversos productos, pero ofrece un único insumo; coeficientes de producción fijos; sustitución imperfecta en la producción y el consumo; precios fijos y demanda totalmente elástica.
2.3 Los multiplicadores
Más allá de las cantidades totales y de los medios de producción para caracterizar a un sistema económico, es importante tomar en cuenta su capacidad para generar valor agregado, empleo e ingreso. Para ello, es útil el modelo IO, entre otras aplicaciones, y, en particular, los multiplicadores que permite calcular6.
Estos indicadores analizan el efecto económico general de un shock en la demanda y consideran el impacto inicial en la producción del sector y los efectos indirectos en otros sectores vinculados a través de compras de insumos o ventas de productos intermedios. También cuantifican los efectos de los impactos directos e indirectos en el ingreso y gasto de los hogares (efecto inducido).
Los multiplicadores más utilizados son aquellos que estiman el efecto de shocks exógenos en la producción, el valor agregado, el ingreso de los hogares y el empleo. Existen múltiples clasificaciones de dichos multiplicadores, de las cuales las principales son las siguientes: multiplicadores simples y totales y multiplicadores tipo I y II (CEPAL, 2005; Miller & Blair, 2009), tal como se describen a continuación.
Los multiplicadores simples estiman el efecto directo e indirecto de shocks de demanda, mientras que los totales consideran adicionalmente el efecto inducido. Difieren según si el consumo de hogares es exógeno o endógeno, respectivamente. La literatura recomienda utilizar ambos tipos de indicadores como límite mínimo y máximo de un intervalo de confianza, ya que los simples suelen subestimar el efecto total, mientras que lo contrario sucede con los totales (Miller & Blair, 2009).
Estos dos tipos de multiplicadores consideran que el efecto inicial es tal que un aumento unitario de la demanda determina un aumento unitario en la producción. Por otro lado, los multiplicadores tipo I y II consideran como efecto inicial el ingreso, empleo o valor agregado adicional que resulta del aumento unitario en la demanda y en la producción, según de qué multiplicador se trate.
Además, dentro de los multiplicadores tipo II, se puede distinguir entre el tipo II propiamente dicho y el truncado. Este último se distingue del primero en que incluye en la matriz de requerimientos directos el consumo final y la remuneración pagada a los hogares, pero no suma su efecto al calcular el multiplicador, sino que solo el de los sectores económicos. La ventaja del multiplicador truncado es que es comparable con los demás indicadores que consideran como exógenos a los hogares.
Se debate sobre la forma de estimar los efectos multiplicadores. Algunos autores defienden la inclusión de los pesos de cada sector en la economía para obtener indicadores de arrastre efectivos en lugar de potenciales. Dado el desacuerdo sobre qué ponderadores utilizar y la incertidumbre sobre su representatividad, en este trabajo se calculan los multiplicadores sin ponderar, según la mayoría de los estudios revisados para el sector pesquero. Por su parte, algunos investigadores proponen el cálculo de multiplicadores netos, pues argumentan que los indicadores deben ser corregidos para evitar la sobreestimación del impacto debido a la doble contabilización del efecto exógeno.
A su vez, se cuestiona el uso de modelos IO para analizar los efectos de restricciones de oferta en el sector pesquero, como cuotas, captura máxima permitida y reducciones del stock. Algunos estudios sugieren que las políticas pesqueras tienden a controlar la producción, no la venta o la demanda final, por lo que se necesitan ajustes en los multiplicadores para medirlos correctamente (Steinback, 2004; Steinback & Thunberg, 2006). Sin embargo, otros como Seung y Waters (2006) argumentan que, en el corto plazo, cualquier cambio en la captura afecta proporcionalmente la demanda final a través de eslabonamientos, lo que permite analizar la variación en la captura mediante un modelo IO si se conoce la relación entre producción y demanda final.
Dado que esta investigación no busca proyectar el impacto a largo plazo de shocks de oferta o demanda, sino tener una primera aproximación a la contribución total del sector en producción, valor agregado, ingresos y empleo, se considera válido utilizar la matriz inversa de Leontief para estimar los efectos multiplicadores del sector.
3. LOS ENCADENAMIENTOS PRODUCTIVOS Y LA CLASIFICACIÓN DE SECTORES DE ACTIVIDAD
El estudio de los encadenamientos productivos inicia en la década del 50. Entre los pioneros en esta literatura se encuentran Hirschman (1958), Rasmussen (1956) y Chenery y Watanabe (1958)7. El encadenamiento de Hirschman destaca cómo las actividades actuales impulsan el surgimiento de otras nuevas, las cuales generan desarrollo y expansión económica a través de la demanda de insumos y producción de bienes y servicios. La relación puede ser clasificada en dos tipos: como encadenamientos hacia atrás, cuyos efectos están relacionados con la demanda derivada, y encadenamientos hacia adelante, cuyos efectos están relacionados con la utilización del producto en la forma de consumo intermedio por parte de las industrias (Drejer, 2002).
Por su parte, Rasmussen (1956) presenta dos indicadores generalmente utilizados para medir los encadenamientos: poder de dispersión y sensibilidad de dispersión. El primero mide la expansión de la demanda de un sector en el resto de la economía, mientras que el segundo mide cómo la variación en la demanda de otros sectores afecta la producción de ese sector. Sin embargo, a pesar del desarrollo de nuevas metodologías para abordar críticas a los encadenamientos y ampliar los indicadores originales, como el método de extracción hipotética entre otros, los índices de Rasmussen continúan siendo la base y una forma establecida y generalmente aceptada para medir los encadenamientos productivos en el sentido de Hirschman (Miller & Blair, 2009).
Los indicadores de encadenamientos permiten la clasificación de sectores económicos. Una primera clasificación, sobre la base de encadenamientos hacia delante y hacia atrás estandarizados, distingue a los sectores como independientes o dependientes según el valor del indicador del encadenamiento directo (véase la Tabla 1).
Tabla 1
Clasificación de sectores según nivel de dependencia del resto de la economía
|
Encadenamiento estandarizado hacia adelante |
|||
|
Bajo (FLe (t)j < 1) |
Alto (FLe (t)j > 1) |
||
|
Encadenamiento estandarizado hacia atrás |
Bajo |
Generalmente independiente |
Dependiente en demanda interindustrial |
|
Alto |
Dependiente en oferta interindustrial |
Generalmente dependiente |
|
Nota. FLe (t)j y BLe (t)j hacen referencia al indicador de encadenamientos productivos estandarizado total hacia delante y hacia atrás del sector j, respectivamente. La misma clasificación es válida si en vez de los encadenamientos totales estandarizados se utilizaran los directos estandarizados Ble (d)j y Fle (d)j. Elaboración propia con base en Miller y Blair (2009).
Los sectores pueden ser clasificados como aislados, con débiles encadenamientos productivos o dependientes hacia adelante o hacia atrás. Los vínculos interindustriales fuertes hacia atrás implican dependencia como compradores de insumos, mientras que los encadenamientos sectoriales fuertes hacia adelante significan dependencia como vendedores de su producción. En segundo lugar, con base en los mismos indicadores, es posible clasificar a los sectores como claves, estratégicos, impulsores o independientes (véase la Tabla 2).
Tabla 2
Clasificación de sectores según indicadores de encadenamientos estandarizados
|
Encadenamiento estandarizado hacia delante |
|||
|
FLe (t)j < 1 |
FLe (t)j ≥ 1 |
||
|
Encadenamiento estandarizado hacia atrás |
BLe (t)j < 1 |
Independiente |
Estratégico o receptor |
|
BLe (t)j ≥ 1 |
Impulsor |
Clave |
|
Nota. FLe (t)j y BLe (t)j refieren al indicador de encadenamientos productivos estandarizado total hacia delante y hacia atrás del sector j, respectivamente. La misma clasificación es válida si en vez de los encadenamientos totales estandarizados se utilizaran los directos estandarizados Ble (d)j y Fle (d)j. Elaboración propia sobre la base de Cepal (2005).
Entonces, se puede tipificar a los sectores como claves, cuando presentan vínculos fuertes hacia adelante y hacia atrás; impulsores o de fuerte arrastre, cuando demandan bienes intermedios de otros sectores, pero no presentan fuertes encadenamientos hacia adelante; estratégicos o receptores, cuando son una fuente significativa de abastecimiento para la economía, pero no presentan fuertes encadenamientos hacia atrás; e independientes o islas, cuando demandan cantidades pequeñas como consumo intermedio y destinan el resto de su producción a la demanda final. Otra forma de identificación es por los coeficientes de variación y el encadenamiento estandarizado (véase la Tabla 3), así se considera la magnitud del efecto relativo promedio ante shocks como su distribución (concentrada o dispersa).
Tabla 3
Clasificación de sectores según indicadores de encadenamientos estandarizados y coeficientes de variación
|
Encadenamiento estandarizado hacia atrás |
|||
|
BLe (t)j < 1 |
BLe (t)j ≥ 1 |
||
|
Coeficiente de variación |
ψj ≫ ψjmin |
De bajo arrastre y concentrado |
Con arrastre concentrado |
|
ψj ≈ ψjmin |
De bajo arrastre disperso |
Clave |
|
Nota. BLe (t)j y ψj refieren al indicador de encadenamientos productivos estandarizado total hacia atrás y al coeficiente de variación del sector j, respectivamente. ψjmin indica el valor mínimo entre los coeficientes de variación de todos los sectores. Elaboración propia con base en CEPAL (2005).
Según esta clasificación, un sector es clave cuando un aumento de su demanda neta de importaciones tiene un impacto promedio relativamente grande en el resto de la economía y es tal que no se concentra en pocos sectores. Las demás clases de sectores presentan impactos de magnitudes relativamente inferiores o cuya distribución al resto de la economía se encuentra más concentrada.
4. METODOLOGÍA
Esta investigación analiza los efectos del sector pesquero y sus encadenamientos tomando como base el modelo insumo-producto por el lado de la demanda y el de la oferta. Se considera que estos son instrumentos efectivos para lograr una primera aproximación al efecto socioeconómico del sector pesquero y su estructura de relaciones intersectoriales. El modelo de Leontief se usa para el cálculo de multiplicadores y encadenamiento hacia atrás, mientras que el de Gosh se emplea para el análisis del encadenamiento hacia adelante.
Para el análisis de la contribución total de los sectores pesqueros a la economía de Argentina, Chile, México y Perú se calculan multiplicadores de producción, valor agregado, empleo e ingreso para cada uno de los subsectores pesqueros, según el nivel de detalle de la información disponible para cada país. Cada uno de los indicadores se estimó con base en la matriz inversa de Leontief y se consideró a los hogares como componentes exógenos y endógenos. De esta forma, se obtiene una aproximación a los límites del intervalo de confianza para los efectos multiplicadores. Para este punto se toma como referencia las formas de cálculo que se presentan en la Tabla 4.
Tabla 4
Multiplicadores


Nota. Para el cálculo de los multiplicadores simples del valor agregado, del empleo y del ingreso, en vez de dividir por vj, λj y wj, respectivamente, se divide por ∆fj. Para el cálculo de los indicadores tipo II, se considera como endógeno el consumo de los hogares, se estima el multiplicador total y luego se lo divide por ∆fj, vj, λj o wj, según qué multiplicador se desee calcular (de la producción, del valor agregado, del empleo o del ingreso). Elaboración propia con base en Miller y Blair (2009) y Cepal (2005).
Por su parte, el análisis de los encadenamientos de los sectores pesqueros se realiza a partir del cálculo de indicadores de encadenamientos hacia adelante y hacia atrás del tipo directo, total y estandarizado y el coeficiente de variación para cada uno de los subsistemas pesqueros y países según las fórmulas que se presentan en las tablas 5 y 6.
Tabla 5
Indicadores de encadenamientos productivos


Nota. Los indicadores de encadenamiento hacia delante se calculan con base en la matriz de coeficientes directos (A = [aij]) y la matriz inversa de Leontief (L = [lij]), mientras que los indicadores hacia atrás se calculan a partir de la matriz de coeficientes de asignación (B = [bij]) y la matriz inversa de Ghosh (G = [gij]). Elaboración propia con base en Dietzenbacher y Van der Linden (1997) y Miller y Blair (2009).
Tabla 6
Indicadores de dispersión

Nota. Ambos coeficientes se calculan a partir de la matriz inversa de Leontief. En particular, para el caso del encadenamiento hacia delante, se calculó el indicador con base en dicha matriz y no al modelo de Ghosh siguiendo la metodología de Rasmussen (1963). Elaboración propia con base en CEPAL (2005).
Finalmente, se tipifica a cada uno de los subsistemas pesqueros de cada país de acuerdo con la naturaleza de las relaciones interindustriales y el grado de difusión de los efectos encontrados.
5. DATOS
Como criterio general para la elección de los datos, se decidió trabajar sobre la base de matrices industria por industria, a precios básicos, según la mayor apertura de actividades económicas publicada y los datos más actualizados disponibles para cada país al año 2015 (momento de realizarse la investigación en el marco del proyecto CRN 3094 del IAI)8. Además, para homogeneizar las unidades de medida, todas las variables nominales fueron expresadas en términos de dólares PPA (paridad del poder adquisitivo) para el 2005 con base en el factor de conversión PPA publicado por el Banco Mundial en los indicadores de desarrollo mundial9 y la metodología de actualización de Cepal (2014). En adelante, se presenta una breve descripción de los datos empleados por país.
5.1 Argentina
Se emplearon tablas de oferta y utilización a precios básicos de 195 productos por 124 actividades económicas, además de la MIP doméstica y generación de ingresos y empleo por actividad económica de 124 x 124. Todos los datos son de 1997 y del Instituto Nacional de Estadísticas y Censos de dicho país (INDEC). Las actividades relacionadas con pesca en el análisis emplean la clasificación industrial internacional uniforme revisión 3 (CIIU Rev. 3) de Naciones Unidas en 1999, a nivel de clase (véase la Tabla 7).
Tabla 7
Actividades económicas directamente relacionadas con la pesca en Argentina
|
Número de orden |
CIIU Rev. 3 |
Descripción de la actividad |
|
11 |
Sección B, clase 0500 |
Pesca. Incluye pesca marítima (productos de pesca en barcos procesadores, congeladores y factoría), pesca continental, explotación de criaderos de peces y granjas piscícolas y servicios para la pesca. |
|
16 |
Sección D, clase 1512 |
Elaboración y conservación de pescado y productos de pescado. Incluye el procesamiento de pescados, crustáceos, moluscos, otros productos recolectados en el mar o aguas interiores. En particular, se realiza la conservación de las especies y la elaboración de productos congelados, conservas, aceites, harinas y subproductos. |
Nota. Elaboración propia sobre la base del Instituto Nacional de Estadística y Censo (INDEC, 2001).
5.2 Chile
Se emplearon las tablas de utilización y oferta a precios básicos de 176 productos por 111 industrias, la MIP a precios básicos de 111 por 111 industrias y el cuadrante de valor agregado por industria. Todos los datos corresponden al año 2008 y se encuentran publicados por el Banco Central de Chile (2008). El clasificador de actividades económicas utilizado es la CIIU Rev. 3 a nivel de clase (véase la Tabla 8).
Tabla 8
Actividades económicas directamente relacionados con la pesca en Chile
|
Código |
CIIU Rev. 3 Cl. |
CIIU Rev. 3 |
Descripción |
|
|
11 |
051 |
Sección B, clase 0500 |
Acuicultura. Actividades de reproducción y cultivo de organismos acuáticos (marinos y de agua dulce) y los servicios relacionados. |
|
|
12 |
052 |
Sección B, clase 0500 |
Pesca extractiva. Comprende la captura de especies marinas, la recolección y el secado de algas y los servicios relacionados. No incluye actividad de buques factoría (ni la captura ni el procesamiento de especies). |
|
|
20 |
15121 y 15143 |
Sección D, clase 1512 y 1514 |
Elaboración de harina y aceite de pescado. Toda actividad requerida a transformar el pescado en elaborar harina y aceite de pescado. |
|
|
21 |
12122 |
Sección D, clase 1512 |
Elaboración y conservación de pescados y mariscos. Incluye el procesamiento y conservación organismos marinos (de origen natural y cultivadas). Comprende la actividad de buques factorías. |
|
Nota. Elaboración propia con base en el INE e informes del Banco Central de Chile (2008).
En relación con los datos laborales en Chile, es relevante señalar ciertas particularidades. El vector de empleo para 2008 no está incluido con los demás cuadrantes de la MIP chilena. Aunque se obtuvo información sobre empleo de manuales, la apertura es menor a las 111 actividades en otras tablas, impidiendo diferenciar trabajos en acuicultura y pesca, elaboración y conservación de pescados y mariscos, y elaboración de harina y aceite de pescado. En consecuencia, no se calcularon multiplicadores de empleo para este país.
5.3 Perú
Se empleó una tabla de oferta y utilización (no simétrica) para 45 productos por 45 industrias, valuados a precios básicos. Los datos corresponden al año 1994 y se encuentran publicados por el Instituto Nacional de Estadísticas e Informática (INEI) de dicho país. Para homogeneizar, se transformó la matriz utilizando la metodología de cuota de mercado, basada en el manual metodológico del INDEC (2001). Esto resultó en una MIP simétrica de 45 x 45 industrias. Además, el clasificador de actividades económicas utilizado es el de 45 actividades económicas adaptado por Perú y consistente con CIIU Rev. 3 (véase la Tabla 9).
Tabla 9
Actividades económicas directamente relacionados con la pesca en Perú
|
Nivel 45 |
CIIU Rev. 3 Perú |
CIIU Rev. 3 |
Descripción |
|
2 |
Sección B, clase 0500 |
Sección B, clase 0500 |
Pesca. Incluye pesca marítima (considera la elaboración de productos de pesca que se realizan en barcos procesadores, congeladores y factoría), pesca continental, explotación de criaderos de peces y granjas piscícolas y servicios para la pesca. |
|
6 |
Sección D, clase 1512.1 |
Sección D, clase 1512 |
Elaboración y preservación de pescado. Comprende el procesamiento de pescados, crustáceos, moluscos, otros productos recolectados en el mar o aguas interiores y productos derivados de la acuicultura. |
|
7 |
Sección D, clase 1512.2 |
Sección D, clase 1512 y 1514 |
Elaboración de harina y aceite de pescado. Se trata de las actividades requeridas para la transformación del pescado con destino a la producción de harina y aceite de pescado. |
Nota. Elaboración propia con base en INEI (2014).
5.4 México
Se emplearon MIP y tablas de oferta y utilización. También se utilizaron datos sobre empleo y distribución funcional de valor agregado, todos del año 2008 y provistos por el Instituto Nacional de Estadística y Geografía de México (INEGI). El sistema de clasificación de actividades económicas utilizado es el Sistema de Clasificación Industrial para América del Norte 2007 (INEGI, 2008) a nivel de ramas, comparable con la CIIU Rev. 4 (véase la Tabla 10).
Tabla 10
Actividades económicas directamente relacionados con la pesca en México
|
Número |
Código SCIAN 2007 |
Rama |
|
10 |
Rama 1125 |
Acuicultura. Incluye la explotación de animales acuáticos en ambientes controlados, así como también acuicultura vegetal y de ornato. |
|
15 |
Rama 1141 |
Pesca. Comprende actividades de pesca, extracción y captura de especies acuáticas y productos marinos como estrellas de mar y esponjas. |
|
44 |
Rama 3117 |
Preparación y envasado de pescados y mariscos. Se trata de la preparación, conservación y envasado de pescados, marinos, plantas marinas comestibles y otros productos marinos, así como también la producción de harina y aceite de pescado. |
Nota. Elaboración propia con base en SCIAN 2007 (INEGI, 2008).
6. RESULTADOS
En esta sección se muestran los resultados de un ejercicio de estimación realizado durante el año 2015 en el marco del proyecto de investigación CRN 3094 del IAI. El principal objetivo de las estimaciones fue indagar cómo la MIP, el cálculo de multiplicadores y de indicadores de encadenamientos productivos permiten analizar la importancia socioeconómica y las relaciones interindustriales del sector pesquero en los principales países productores en ese momento en América Latina. Estos resultados han sido importantes para el resto de la producción científica de dicho proyecto, ya que se ha colaborado con la tarea de nutrir otras investigaciones en la disciplina y en otras ciencias.
6.1 El efecto socioeconómico de los sectores pesqueros
En las tablas 11 y 12 se presenta la contribución directa de la pesca primaria y la industria manufacturera para los cuatro países bajo estudio. La participación relativa de la pesca primaria en el valor bruto de producción (VBP) y el valor agregado bruto (VAB) de la economía alcanza máximos de 1 pp. (Chile) y aporta, en términos de empleo, entre 18 175 (Argentina) y 114 615 (México) puestos de trabajo. La importancia de la industria manufacturera pesquera en términos de VBP y VAB es relativamente superior para los casos de Chile y Perú. La contribución en términos de empleo y remuneración es relativamente baja en todos los casos, excepto en México. Es interesante analizar las distintas composiciones de VBP-VAB entre los países, ya que las mismas tienen implicancias en las relaciones interindustriales y multiplicadores.
Tabla 11
Efectos directos de la pesca primaria en Argentina, México, Chile y Perú
|
Países |
VBP |
Participación relativa en VBP (total) |
VAB |
Participación relativa en VAB (total) |
Empleo pesca |
Participación relativa en empleo (total) |
Remuneración por puesto de trabajo |
Remuneración promedio puesto de trabajo |
|
Argentina |
1779,0 |
0,22 % |
882,0 |
0,20 % |
18 175 |
0,14 % |
0,03 |
0,02 |
|
Chile |
4308,4 |
1,02 % |
933,5 |
0,48 % |
s/d |
s/d |
s/d |
s/d |
|
México |
1909,0 |
0,09 % |
1067,0 |
0,08 % |
114 615 |
0,24 % |
0,004 |
0,01 |
|
Perú |
2062,0 |
0,83 % |
1194,0 |
0,85 % |
54 540 |
0,77 % |
0,003 |
0,02 |
Nota. Elaboración propia con base en MIP Argentina del 2001, MIP Chile del 2008, MIP México del 2008 y MIP Perú de 1994.
Tabla 12
Efectos directos de la industria manufacturera pesquera en Argentina, México, Chile y Perú
|
Países |
VBP |
Participación relativa en VBP (total) |
VAB |
Participación relativa en VAB (total) |
Empleo pesca |
Participación relativa en empleo (total) |
Remuneración por puesto de trabajo |
Remuneración promedio puesto de trabajo |
|
Argentina |
985,0 |
0,12 % |
234,0 |
0,05 % |
8790 |
0,07 % |
0,010 |
0,02 |
|
Chile |
6242,5 |
1,48 % |
971,8 |
0,50 % |
s/d |
s/d |
s/d |
s/d |
|
México |
1135,0 |
0,05 % |
403,0 |
0,03 % |
13 080 |
0,03 % |
0,004 |
0,01 |
|
Perú |
3809,0 |
1,53 % |
1650,0 |
1,17 % |
15 538 |
0,22 % |
0,030 |
0,02 |
Nota. Elaboración propia con base en MIP Argentina del 2001, MIP Chile del 2008, MIP México del 2008 y MIP Perú de 1994.
Al analizar el efecto multiplicador (véase la Tabla 13), se nota que un aumento en la demanda neta de importaciones genera un efecto inicial igual al aumento en producción, valor agregado, ingreso o empleo del sector (según el multiplicador). Además, ocurre un efecto directo e indirecto por las relaciones interindustriales. El efecto de los encadenamientos entre el sistema pesquero y la economía es mayor que el efecto inicial para el caso de la industria manufacturera pesquera (si bien esto no se verifica en México y Perú en la producción). Lo mismo se observa para el caso de la acuicultura chilena.
Los multiplicadores muestran que cuanto más industrializado es el producto pesquero, mayor es el impacto socioeconómico en los países analizados. Los shocks pesqueros tienen mayores repercusiones en términos de empleo, ingreso, valor agregado y, en menor medida, en la producción total de la economía.
La acuicultura en Chile destaca al exponer efectos totales, en algunas variables, superiores a la industria manufacturera pesquera. Esto se refleja en mayor producción y valor agregado comparado con la subindustria de elaboración de harina y aceite de pescado. También, se observan diferencias en la producción e ingresos en contraste con la elaboración y conservación de pescado.
Estos resultados concuerdan con altos ratios CI/VBP (véase la Tabla 12). En la industria manufacturera pesquera y la acuicultura en Chile, los ratios indican que la producción depende, principalmente, de bienes y servicios de otros sectores y, en menor medida, de valor agregado interno. Esto sugiere relaciones más sólidas con otros sectores que con la pesca primaria. En México y Perú, aunque el VBP se compone principalmente de CI, la diferencia con VAB es menor que en Argentina y Chile. Esto señala una relación más débil entre la industria pesquera y la economía en los dos primeros países.
Además, en la acuicultura chilena, el 83,3 % del VBP proviene de compras a la economía, mientras que la pesca de captura en Chile y la pesca primaria en México, Perú y Argentina se basan mayoritariamente en valor agregado. Estas variaciones en el VBP explican la heterogeneidad del efecto multiplicador en la pesca primaria en estos países (véase la Tabla 13).
Tabla 13
Efectos multiplicadores del sector pesquero de países latinoamericanos seleccionados
|
Simple |
Tipo I |
||||||
|
Producción |
Valor agregado |
Empleo |
Ingreso |
||||
|
Acuicultura* |
Chile 2008 |
2,84 |
6,67 |
s/d |
3,68 |
||
|
México 2008 |
1,75 |
1,74 |
1,63 |
2,18 |
|||
|
Pesca* |
Argentina 1997 |
1,71 |
1,75 |
1,78 |
1,49 |
||
|
Chile 2008 |
1,61 |
1,38 |
s/d |
1,55 |
|||
|
México 2008 |
1,73 |
1,64 |
1,16 |
1,57 |
|||
|
Perú 1994 |
1,64 |
1,57 |
1,39 |
2,03 |
|||
|
Elaboración y conservación de pescado y productos de pescado |
Argentina 1997 |
2,27 |
3,72 |
2,56 |
3,12 |
||
|
Chile 2008 |
3,10 |
4,67 |
s/d |
3,30 |
|||
|
México 2008 |
1,90 |
2,43 |
3,64 |
3,51 |
|||
|
Perú 1994 |
1,91 |
2,24 |
3,67 |
2,38 |
|||
|
Elaboración de harina y aceite de pescado** |
Chile 2008 |
2,37 |
3,15 |
s/d |
3,89 |
||
|
Perú 1994 |
1,88 |
2,13 |
7,01 |
2,58 |
|||
Nota. Se presenta el multiplicador simple de la producción y el tipo I del valor agregado a precios básicos, del empleo y del ingreso. (*) “Pesca” incluye pesca de captura y acuicultura en casos sin distinción.
(**) Para Chile y Perú fue posible separar “elaboración de harina y aceite de pescado”. En Argentina y México se encuentran en “elaboración y conservación de pescado y productos de pescado”. Para el caso chileno los datos sobre empleo del sector pesquero están agregados con los demás puestos de trabajo del sector agropecuario-silvícola; por ello, no se pudo calcular el multiplicador del empleo. Elaboración propia con base en MIP Argentina del 2001), MIP Chile del 2008, MIP México del 2008 y MIP Perú de 1994.
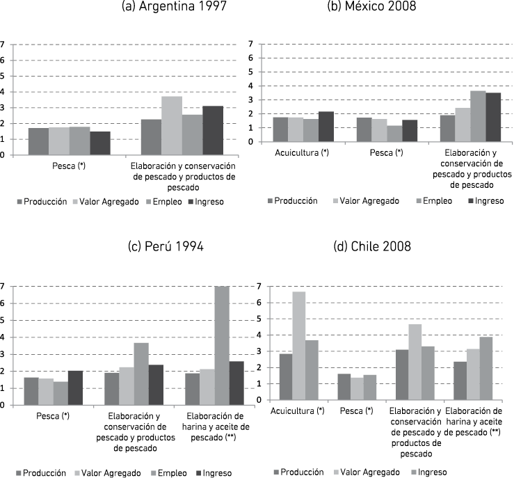
Comparando multiplicadores en subsectores pesqueros (véase la Figura 1), en Argentina, la manufactura pesquera aporta más en valor agregado, mientras el sector primario tiene impacto similar en las variables consideradas, levemente menor en ingresos. En México y Perú, el efecto es relativamente mayor en términos de ingresos, independientemente del subsector. En Chile, la situación varía: acuicultura y elaboración se destacan por el efecto en valor agregado, pesca de captura por su efecto en producción, y elaboración de harina y aceite de pescado inciden relativamente más en términos de ingresos.
Figura 1
Multiplicadores simples tipo I de subsectores pesqueros

Nota. (*) El término pesca aplica a la captura y acuicultura cuando no hay distinción. (**) En Chile y Perú se separaron “Elaboración de harina y aceite de pescado” y otros procesos. Contrariamente, Argentina y México los engloban en “Elaboración y conservación de pescado”. Elaboración propia con base en MIP Argentina del 2001, MIP Chile del 2008, MIP México del 2008 y MIP Perú de 1994.
Finalmente, considerando efectos directos, indirectos e inducidos por ingresos en hogares (multiplicadores totales y tipo II [véase la Tabla 14]), se tiene para todos los casos un efecto diferencial positivo cuyo valor depende del país, del sector de actividad y de la variable considerada. El efecto en el empleo es más fuerte en Perú y Argentina; mientras que en el valor agregado e ingreso es más importante en Chile y México.
Tabla 14
Efectos multiplicadores del sector pesquero de países latinoamericanos seleccionados
|
Total |
Tipo II truncado |
|||||
|
Producción |
Producción |
VA |
Empleo |
Ingreso |
||
|
Acuicultura |
Chile 2008 |
4,29 |
3,84 |
12,18 |
s/d |
6,19 |
|
México 2008 |
2,75 |
2,50 |
2,71 |
2,20 |
3,50 |
|
|
Pesca |
Argentina 97 |
4,93 |
4,05 |
4,48 |
5,46 |
3,09 |
|
Chile 2008 |
3,04 |
2,59 |
2,24 |
s/d |
2,61 |
|
|
México 2008 |
3,03 |
2,70 |
2,65 |
1,44 |
2,53 |
|
|
Perú 1994 |
3,29 |
2,96 |
2,89 |
2,95 |
3,98 |
|
|
Elaboración y conservación de pescado y productos de pescado |
Argentina 97 |
5,40 |
4,54 |
9,24 |
6,64 |
6,47 |
|
Chile 2008 |
4,84 |
4,30 |
8,73 |
s/d |
5,55 |
|
|
México 2008 |
3,02 |
2,74 |
3,90 |
5,23 |
5,66 |
|
|
Perú 1994 |
4,68 |
3,88 |
4,42 |
9,97 |
4,68 |
|
|
Elaboración de harina y aceite de pescado |
Chile 2008 |
3,77 |
3,33 |
5,15 |
s/d |
6,53 |
|
Perú 1994 |
3,55 |
3,22 |
3,88 |
20,14 |
5,07 |
|
Nota. Se presentan los multiplicadores totales para producción, tipo II truncado, valor agregado a precios básicos, empleo e ingreso. (s/d) No se puede calcular el multiplicador del empleo para Chile, por motivos ya mencionados. Elaboración propia con base en MIP Argentina del 2001, MIP Chile del 2008, MIP México del 2008 y MIP Perú de 1994.
Los indicadores presentados en las tablas 13 y 14 pueden interpretarse como límites del intervalo de confianza para los efectos multiplicadores de variaciones en la demanda de cada subsector pesquero y país. Aunque útiles para cuantificar el impacto socioeconómico de sectores, los multiplicadores no exploran el origen ni la propagación de estos efectos ni el impacto relativo en sectores de interés. Otros indicadores, como los encadenamientos productivos y las medidas de dispersión, los abordan. Estos se discutirán a continuación.
6.2 Caracterización de los encadenamientos productivos de los sectores pesqueros
Los indicadores de encadenamientos productivos permiten analizar los efectos directos e indirectos del sistema pesquero en la economía (véanse las tablas 15 y 16) como se describe a continuación:
Tabla 15
Encadenamientos hacia atrás
|
Indicador de encadenamiento hacia atrás |
|||||||
|
Directo |
Indirecto |
Total |
Directo Est. |
Total Est. |
Coef. Var. |
||
|
Acuicultura* |
Chile 2008 |
0,86 |
0,98 |
2,84 |
1,94 |
1,60 |
4,99 |
|
México 2008 |
0,48 |
0,27 |
1,75 |
1,39 |
1,16 |
9,72 |
|
|
Pesca* |
Argentina 97 |
0,43 |
0,28 |
1,71 |
0,97 |
0,98 |
6,73 |
|
Chile 2008 |
0,39 |
0,22 |
1,61 |
0,87 |
0,90 |
6,64 |
|
|
México 2008 |
0,47 |
0,26 |
1,73 |
1,34 |
1,14 |
9,81 |
|
|
Perú 1994 |
0,38 |
0,26 |
1,64 |
0,86 |
0,95 |
4,11 |
|
|
Elaboración y conservación de pescado y productos de pescado |
Argentina 97 |
0,74 |
0,52 |
2,27 |
1,68 |
1,29 |
5,45 |
|
Chile 2008 |
0,83 |
1,27 |
3,10 |
1,86 |
1,74 |
4,47 |
|
|
México 2008 |
0,56 |
0,33 |
1,90 |
1,62 |
1,26 |
9,47 |
|
|
Perú 1994 |
0,58 |
0,34 |
1,91 |
1,31 |
1,11 |
3,56 |
|
|
Elaboración de harina y aceite de pescado** |
Chile 2008 |
0,72 |
0,65 |
2,37 |
1,61 |
1,33 |
5,01 |
|
Perú 1994 |
0,55 |
0,33 |
1,88 |
1,24 |
1,10 |
3,73 |
|
Nota. (*) El término pesca aplica a la captura y acuicultura cuando no hay distinción. (**) En Chile y Perú se separaron “Elaboración de harina y aceite de pescado” y otros procesos. En Argentina y México los engloban en “Elaboración y conservación de pescado”. Elaboración propia con base en MIP Argentina del 2001, MIP Chile del 2008, MIP México del 2008 y MIP Perú de 1994.
Tabla 16
Encadenamientos hacia adelante
|
Indicador de encadenamiento hacia adelante |
|||||||
|
Directo |
Indirecto |
Total |
Directo Est. |
Total Est. |
Coef. Var. |
||
|
Acuicultura |
Chile 2008 |
1,17 |
0,44 |
2,61 |
241 |
1,42 |
6,91 |
|
México 2008 |
0,02 |
0,00 |
1,02 |
0,06 |
0,68 |
16,16 |
|
|
Pesca |
Argentina 97 |
0,25 |
0,02 |
1,27 |
0,50 |
0,69 |
9,19 |
|
Chile 2008 |
0,87 |
0,55 |
2,43 |
1,80 |
1,32 |
5,36 |
|
|
México 2008 |
0,18 |
0,05 |
1,23 |
0,52 |
0,82 |
13,51 |
|
|
Perú 1994 |
0,63 |
0,10 |
1,74 |
1,39 |
1,00 |
4,30 |
|
|
Elaboración y conservación de pescado y productos de pescado |
Argentina 97 |
0,05 |
0,01 |
1,06 |
0,10 |
0,58 |
10,72 |
|
Chile 2008 |
0,09 |
0,05 |
1,14 |
0,18 |
0,62 |
9,58 |
|
|
México 2008 |
0,19 |
0,07 |
1,26 |
0,53 |
0,84 |
13,88 |
|
|
Perú 1994 |
0,12 |
0,08 |
1,19 |
0,26 |
0,69 |
5,60 |
|
|
Elaboración de harina y aceite de pescado |
Chile 2008 |
0,46 |
0,81 |
2,27 |
0,94 |
1,23 |
5,49 |
|
Perú 1994 |
0,09 |
0,04 |
1,13 |
0,19 |
0,65 |
5,94 |
|
Nota. Elaboración propia con base en MIP Argentina del 2001, MIP Chile del 2008, MIP México del 2008 y MIP Perú de 1994.
6.3 Clasificación de los sistemas pesqueros
El análisis de la Tabla 17 refleja la interacción del sector pesquero con la economía y se varía por subsectores. En la manufactura pesquera hay encadenamientos homogéneos entre países, por lo que resulta como el sector dependiente de la oferta interindustrial, pero no de la demanda. Esto sugiere que su producción afecta la demanda de insumos, pero el efecto es limitado en términos de consumo intermedio. Chile constituye la excepción, ya que el procesamiento de harina y aceite de pescado, junto al sector acuícola, muestran alta dependencia hacia atrás y hacia adelante. Respecto a la pesca primaria, México tiene fuerte vínculo hacia atrás, Perú y Chile hacia adelante, principalmente, en la captura. En Argentina, la pesca primaria puede ser caracterizada como un sector generalmente independiente en términos de relación con el resto de la economía.
Tabla 17
Categorización de sectores según encadenamientos con el resto de la economía
|
Encadenamiento total hacia adelante |
|||
|
Bajo (FL < 1) |
Alto (FL > 1) |
||
|
Encadenamiento total hacia atrás |
Bajo (BL < 1) |
Pesca primaria en Argentina |
Pesca primaria en Perú Pesca de captura en Chile |
|
Alto (BL > 1) |
Pesca primaria en México Industria pesquera manufacturera en todos |
Acuicultura y elaboración |
|
Los resultados también muestran que la acuicultura y parte de la industria manufacturera pesquera de Chile son sectores clave. En los demás países analizados, la industria manufacturera pesquera actúa como impulsor, mientras que la pesca primaria tiene diferentes roles (estratégico para Perú, impulsor para México e independiente para Argentina). Si, además del indicador de encadenamiento estandarizado hacia atrás, se toma en cuenta el coeficiente de variación (véase la Tabla 18), se tiene un análisis más completo de este tipo de relación y una forma alternativa y complementaria de caracterizar al sistema, tomando en cuenta el grado de difusión de los efectos.
Tabla 18
Clasificación de sectores según indicadores de encadenamientos estandarizados y coeficientes de variación
|
Bajo arrastre |
Alto arrastre |
|
|
(BLe(t)j < 1) |
(BLe(t)j ≥ 1) |
|
|
Efecto concentrado (ψj ≫ ψj min) |
Pesca primaria en Argentina y Perú Pesca de captura en Chile |
Pesca primaria en México |
|
Efecto con elevada dispersión (ψj ≈ ψj min) |
Industria manufacturera pesquera Acuicultura en Chile |
Nota. La clasificación basa en los indicadores de encadenamientos estandarizados hacia atrás y sus correspondientes coeficientes de variación (véanse las tablas 11, 12 y 13). “Pesca primaria” incluye pesca de captura y acuicultura. “Industria pesquera manufacturera” comprende “Elaboración y conservación de pescado y productos de pescado” y “Elaboración de harina y aceite de pescado”. ψj: coeficiente de variación de encadenamiento hacia atrás del sector j. BLe(t)j: encadenamiento estandarizado hacia atrás del sector j.
Según los indicadores de la Tabla 18, la pesca de captura en Chile y la pesca primaria en Argentina y Perú tienen bajos efectos de encadenamiento aguas abajo, concentrados en pocos sectores. Contrariamente, la pesca primaria en México muestra arrastre con mayor encadenamiento hacia atrás, lo que limita el vínculo a unas pocas ramas de actividad. Finalmente, el sector acuícola chileno y la industria manufacturera pesquera en todos los países son clave, en tanto tienen efectos directos e indirectos hacia atrás relativamente grandes y de elevada dispersión en comparación con el efecto promedio del total de la economía. Estos resultados son consistentes con los de Cepal (2005), donde se sostiene que los encadenamientos hacia adelante, generalmente, son débiles en economías poco industrializadas y la industria manufacturera es un sector clave, en tanto su mayor capacidad de estimular a otras actividades económicas.
7. CONCLUSIONES
Este trabajo analiza distintos indicadores que permiten cuantificar el efecto socioeconómico y los encadenamientos productivos del sector pesquero en Argentina, Chile, México y Perú. Se hace especial énfasis en la ampliación y dispersión del impacto del sector en el resto de la economía a través de sus relaciones con los demás sectores de actividad económica.
Los resultados sobre los efectos multiplicadores revelan que el sector pesquero tiene efectos iniciales y directos en la producción, valor agregado, ingresos y empleo, pero también efectos indirectos en dichas variables mediante los encadenamientos productivos. Esto implica que aquellos estudios que no consideran las interrelaciones con los demás sectores de actividad, podrían subestimar su contribución económica total.
Por su parte, se encuentra que la industrialización del producto pesquero amplifica los efectos multiplicadores. Esto se observa en efectos indirectos relativamente mayores a los directos (excepto el indicador de producción para México y Perú). Es decir, shocks a la industria manufacturera pesquera tienen mayores repercusiones en términos de empleo, ingreso, valor agregado y, en menor medida, producción total de la economía. Al respecto, también se destaca la actividad acuícola en Chile, en tanto expone efectos totales mayores en la producción y el valor agregado en comparación con la industria de elaboración de harina y aceite de pescado, así como en producción e ingresos en contraste con elaboración y conservación de pescado.
Los resultados antes comentados se relacionan con la estructura de encadenamientos en los sectores pesqueros: mayor apertura y dependencia conllevan mayores conexiones interindustriales, lo que potencia el impacto socioeconómico de los shocks en el sector. Además, si se considera el efecto inducido por las variaciones del ingreso de los hogares, se obtienen efectos diferenciales positivos relativamente más fuertes para el ingreso y valor agregado en Chile y México y el empleo en Perú y Argentina.
Por otro lado, el análisis más minucioso de los encadenamientos productivos, realizado con base en indicadores estandarizados y coeficientes de dispersión, permite reconocer las características de cada uno de los subsistemas pesqueros en términos de sus relaciones con el resto de la economía, en los cuales se encuentran situaciones muy diversas. Salvo la pesca primaria en Argentina, los sistemas pesqueros exhiben apertura en sus relaciones económicas, con ciertas heterogeneidades en la intensidad y dispersión de efectos según subsector y país. En los encadenamientos productivos de los sectores pesqueros predominan los efectos hacia atrás y directos, con algunas excepciones. Ante shocks de oferta/demanda, los vínculos iniciales son fuertes, con rondas subsiguientes de compras intermedias más débiles. La industrialización del producto genera mayor encadenamiento hacia atrás y menor hacia adelante, a excepción de la acuicultura en Chile y la pesca de captura en México, coherente con la estructura del valor bruto de producción manufacturera pesquera.
Por su parte, los encadenamientos de la industria pesquera son homogéneos entre países dependientes de la oferta interindustrial, lo que es coherente dado el alto consumo intermedio y orientación hacia la demanda final de los productos pesqueros manufacturados. Considerando la dispersión, la industria manufacturera pesquera emerge como sector clave en todos los países. Por otro lado, la categorización de la pesca primaria depende del país que se analice. México muestra dependencia hacia atrás con efectos concentrados, Perú y Chile hacia adelante (solo captura en Chile), y Argentina presenta un sector del tipo independiente. La acuicultura chilena es única, pues muestra relaciones fuertes y no concentradas.
En conclusión, los efectos encontrados dan indicios de las ventajas en términos de empleo, ingreso, valor agregado y, en menor medida, producción de una mayor industrialización del sector pesquero, tanto para el propio sector como para el resto de la economía. La tendencia hacia la elaboración de productos pesqueros que incorporen otras materias primas y tecnología más avanzada podría ser beneficiosa en términos de una utilización más sustentable del recurso pesquero, cuestión que podría ser indagada en posteriores investigaciones que incorporen un enfoque interdisciplinario. Se considera que los hallazgos relativos a los sectores pesqueros clave, sus características heterogéneas, en particular en el caso chileno y su actividad acuícola, y la estimación de la potencial repercusión y propagación de shocks en el sector, constituyen información de interés para los hacedores de política y las instituciones interesadas en el desarrollo del sector pesquero.
Se sugieren futuras investigaciones basadas en hallazgos y limitaciones actuales. Se podría explorar el impacto pesquero en otras variables, como exportaciones, recaudación fiscal, seguridad alimentaria y reducción de pobreza. Además, se podría ampliar el análisis de los efectos multiplicadores mediante la inclusión del peso sectorial en la economía. En la medida que mejore la información disponible, en particular para Argentina, sería útil analizar el impacto pesquero con datos más actualizados, en escalas geográficas menores, diferenciar entre métodos de pesca y especies y detectar tendencias temporales. Finalmente, sería enriquecedor perfeccionar y ampliar este estudio a partir del uso de modelos más complejos y metodologías interdisciplinarias que permitan incorporar la relación entre aspectos socioeconómicos y ecológicos.
Créditos de autoría
Isabela Sánchez Vargas: conceptualización, metodología, análisis de datos, investigación, redacción; preparación del primer borrador, redacción; revisión y edición.
Ignacio Carciofi: conceptualización, metodología, análisis de datos, investigación, redacción; preparación del primer borrador, redacción; revisión y edición.
REFERENCIAS
Banco Central de Chile. (2008). Estadísticas en Excel. Compilación de referencia. Matriz insumo-producto. http://si3.bcentral.cl/estadisticas/Principal1/Excel/CCNN/cdr/excel.html
Cai, J., Leung, P., Pan, M., & Pooley, S. G. (2005). Linkage of fisheries sectors to Hawaii’s economy and economic impacts of longline fishing regulations. University of Hawaii System. https://www.soest.hawaii.edu/PFRP/soest_jimar_rpts/cai_leung_rpt.pdf
Chenery, H. B., & Watanabe, T. (1958). International comparison of the structure of production. Econometrica, 26(4), 487-521. https://doi.org/10.2307/1907514
Comisión Económica para América Latina y el Caribe. (2005). Tópicos sobre el modelo de insumo-producto: teoría y aplicaciones. https://www.cepal.org/es/publicaciones/4737-topicos-modelo-insumo-producto-teoria-aplicaciones
Comisión Económica para América Latina y el Caribe. (2014). Métodos y aplicaciones de la planificación regional y local en América Latina. https://www.cepal.org/es/publicaciones/36967-metodos-aplicaciones-la-planificacion-regional-local-america-latina
Dietzenbacher, E., & Van der Linden, J. A. (1997). Sectoral and spatial linkages in the EC production structure. Journal of Regional Science, 37(2), 235-257. https://doi.org/10.1111/0022-4146.00053
Drejer, I. (2002). Input-output based measures of interindustry linkages revisited. A survey and discussion. 14o Conferencia Internacional de Técnicas Insumo-Producto, Montreal, Canadá. http://iioa.org/conferences/14th/files/Drejer_.pdf
Durán, J., & Banacloche, S. (2021). Análisis económicos a partir de matrices de insumo-producto: definiciones, indicadores y aplicaciones para América Latina. Cepal. https://www.cepal.org/es/publicaciones/47537-analisis-economicos-partir-matrices-insumo-producto-definiciones-indicadores
Food and Agriculture Organization. (2012). El estado mundial de la pesca y la acuicultura - 2012. https://www.fao.org/documents/card/en/c/eabe7e7b-0f09-5c43-a5a8-772daab14330
Food and Agriculture Organization. (2022). El estado mundial de la pesca y la acuicultura 2022. Hacia la transformación azul. https://www.fao.org/documents/card/es?details=CC0461ES
Hirschman, A. (1958). The strategy of economic development. Yale University Press.
Instituto Nacional de Estadística y Censos. (2001). Matriz insumo-producto. Argentina 1997. https://biblioteca.indec.gob.ar/bases/minde/2mi441_5.pdf
Instituto Nacional de Estadística y Geografía. (2008). Sistema de Clasificación Industrial de América del Norte, México. SCIAN 2007. https://www.inegi.org.mx/contenidos/productos/prod_serv/contenidos/espanol/bvinegi/productos/historicos/1329/702825023614/702825023614_1.pdf
Instituto Nacional de Estadística e Informática. (2014). Comportamiento de la Economía Peruana en el 2014. elhttps://www.inei.gob.pe/media/MenuRecursivo/publicaciones_digitales/Est/Lib1346/parte01.pdf
Jin, D., Hoagland, P., & Dalton, T. M. (2003). Linking economic and ecological models for a marine ecosystem. Ecological Economics, 46(3), 367-385. https://doi.org/10.1016/j.ecolecon.2003.06.001
Miller, R. E., & Blair, P. D. (2009). Input-output analysis. Foundations and extensions (2.a ed.). Cambridge University Press.
Morrissey, K., & O’Donoghue, C. (2013). The role of the marine sector in the irish national economy: an input-output analysis. Marine Policy, 37(1), 230-238. https://doi.org/10.1016/j.marpol.2012.05.004
Papathanasopoulou, E. (2013). Valuing ecosystem services using input-output techniques: The case of UK fisheries. Conferencia de Economistas Ambientales 2013, UK Network of Environmental Economists.
Rasmussen, P. N. (1956). Studies in inter-sectoral relations. Einar Harcks, København.
Rasmussen, P. N. (1963). Relaciones intersectoriales. Aguilar.
Seung C. K., & Waters, E. C. (2006). A review of regional economic models for fisheries management in the U. S. Marine Resource Economics, 21(1), 101-124. https://www.jstor.org/stable/42629497
Steinback, S. R. (2004). Using ready-made regional input output models to estimate backward-linkage effects of exogeneus output shocks. The Review of Regional Studies, 34(1), 57-71.
Steinback, S., & Thurnberg, E. (2006). Northeast region commercial fishing input-output model. NOAA Technical Memorandum NMFS-NE-188. U. S. Department of Commerce.
Zhao, R. (2013). The role of the ocean industry in the Chinese national economy: An input-output analysis. Center for the Blue Economy; Monterey Institute of International Studies.
1 Este estudio es parte de un proyecto de investigación más amplio del Inter-American Institute for Global Change Research (IAI), trabajado en conjunto con Martina Chidiak (Proyecto CRN 3094 Assessment of Marine Ecosystem Services at the Latin-American Antares Times-Series Network), cuyo componente socioeconómico fue estudiado en el Instituto Interdisciplinario de Economía Política de Buenos Aires.
2 A pesar de que en esta investigación se pretende incluir a los cinco principales países pesqueros de América Latina según estadísticas de la FAO, Brasil no pudo ser considerado en el estudio por la forma en que se encuentran publicados los datos. En este sentido, los cuadros de utilización y oferta y los vectores de ingreso y empleo se encuentran publicados con una apertura por actividades tal que no permite identificar los sectores pesca y acuicultura e industrialización del pescado.
3 La demanda final está compuesta por la demanda nacional e internacional.
4 Cada uno de los elementos de la matriz inversa de Leontief, L = [lij], representa la variación en el valor total de la producción para cierto sector por unidad de demanda marginal de otro sector.
5 Cada uno de los elementos de la matriz inversa de Ghosh, G = [gij], representa la variación en el valor total de la producción para cierto sector por unidad de insumo primario marginal de otro sector.
6 El valor de los multiplicadores puede ser interpretado como los beneficios que tendrían futuros proyectos de desarrollo del sector que representan, por lo que tiene implicancias relevantes para los tomadores de decisión (Morrissey & O’Donoghue, 2013).
7 Dado que no es el objetivo de este trabajo comparar la estructura productiva pesquera entre los países estudiados, no se profundizará sobre la metodología propuesta por Chenery y Watanabe (1958).
8 Si bien Chile, Perú y México cuentan con MIP más actualizadas, el Instituto de Estadísticas de Argentina no ha realizado esfuerzos para actualizar los datos.
9 La PPA utilizada es el factor de conversión calculado para el producto bruto interno para el año 2005 y publicado por el Banco Mundial en la serie de indicadores para el desarrollo mundial. Este factor es el número de unidades de moneda de un país requerida para comprar la misma cantidad de bienes y servicios en el mercado doméstico que se comprarían con un dólar en Estados Unidos.