Corrupción, riesgo país, inversión y crecimiento: un análisis VAR bayesiano para el Perú
Sebastián Castro
https://orcid.org/0000-0002-3035-0613
Management Solutions Peru, Lima, Perú
Correo electrónico: [email protected]
Recibido: 29 de septiembre del 2022 / Aceptado: 9 de diciembre del 2022
doi: https://doi.org/10.26439/ddee2023.n003.6058
RESUMEN. Este artículo analiza los efectos de la percepción de corrupción en la inversión privada, el crecimiento económico y el riesgo país en la economía peruana, utilizando datos trimestrales del 2004q2 al 2019q2. La estimación se realiza mediante un modelo bayesiano de vectores autorregresivos (BVAR), que permite incorporar información previa sobre la relación entre las variables y supera a los modelos VAR clásicos en el caso de muestras pequeñas. Los resultados muestran que la percepción de corrupción tiene un efecto negativo en la inversión privada y el crecimiento económico, lo que abona a favor de la hipótesis de arena en las llantas. Sin embargo, este efecto es estadísticamente significativo solo en el periodo inicial, pues luego tiende a desaparecer, lo que puede explicarse por el hecho de que la corrupción está “naturalizada” en el Perú.
Siguiendo este argumento, los shocks en la corrupción no representan una alteración sustancial en el sistema económico, ya que este aspecto está incorporado en las expectativas de los inversores. Por otro lado, se encuentra que estos shocks tienen un efecto positivo y más permanente sobre el riesgo país, lo que se debería principalmente a la inestabilidad política que surge como consecuencia de los escándalos de corrupción.
PALABRAS CLAVE: corrupción / riesgo país / inversión privada / crecimiento
Corruption, country risk, investment and growth:
A Bayesian VAR analysis for Peru
ABSTRACT. This article studies the effects of the perception of corruption on private investment, economic growth and country risk in the Peruvian economy using quarterly data from 2004q2 to 2019q2. The estimation employs a Bayesian Vector Autoregression (BVAR) model, which allows for the inclusion of pre-existing information on the relationship between the variables and outperforms classic VAR models when using small samples. The results show that perception of corruption has a negative impact on private investment and economic growth, which is evidence in support of the “sand the wheels” hypothesis. This effect, however, is only statistically significant during the initial period and tends to disappear later on, which can be accounted for by fact that corruption is naturalized in Peru. Hence, corruption shocks do not constitute a substantial alteration to the economic system, since this aspect is already factored into investors’ expectations. Elsewhere, the study finds that the shocks have a positive and more permanent effect on country risk, mainly due to the political instability that arises as a consequence of corruption scandals.
KEYWORDS: corruption / country risk / private investment / growth
Códigos JEL: D73, E22, O43
Este es un artículo de acceso abierto, distribuido bajo los términos de la licencia Creative Commons Attribution 4.0 International (CC BY 4.0).
1. INTRODUCCIÓN
La corrupción en el Perú es un mal tan antiguo como el propio sistema que gobierna al país, estando presente en todos los estratos sociales, desde el más rico hasta el más pobre. De este modo, “no es algo esporádico sino, más bien, un elemento sistémico, enraizado en las estructuras centrales de la sociedad” (Quiroz, 2013, p. 31). Esto se ha evidenciado recientemente con casos como el de Odebrecht, empresa constructora que sobornó a diversos funcionarios públicos, incluidos presidentes, con el fin de acelerar la concesión y ejecución de proyectos.
Más allá de las implicaciones éticas que suponen escándalos de sobornos como el ya mencionado, tenemos que la corrupción trae consigo ineficiencia en la provisión de servicios públicos y genera una mayor desigualdad en la distribución de recursos. En consecuencia, el estudiar los efectos de la corrupción es de suma importancia para promover el desarrollo económico en el Perú.
Ahora bien, la corrupción es un fenómeno que, por su propia naturaleza, suele ser invisible, silencioso y difícil de delimitar o de cuantificar. En vista de ello, “parece que para la corriente principal de economistas prevalece la opinión de que, para fines de investigación, más allá de cuán importante pueda ser un fenómeno, si no se puede medir, no existe” (Urbina, 2018, p. 37). Asimismo, tal como mencionan Castro et al. (2022), pese a que la corrupción puede evidenciarse a lo largo de la historia humana, no cuenta con una medición que sea universalmente aceptada, motivo por el cual suelen realizarse estudios empíricos sobre ella con mediciones indirectas. Comúnmente se utiliza la percepción de corrupción como una aproximación para medir su efecto real en la economía. Este puede darse a diferentes niveles e incluso manifestarse en muchas variables macroeconómicas. Así, la corrupción puede afectar a la inversión pública y privada, al crecimiento económico, al riesgo país, a la estabilidad financiera, al desempleo, al gasto en educación, a la recaudación de impuestos, entre otros aspectos.
En ese contexto, el objetivo de este artículo es estimar el efecto de la corrupción en la inversión privada, el crecimiento económico y el riesgo país para el caso peruano. De este modo, podremos evaluar si es que la misma efectivamente dificulta el alcanzar estándares de desarrollo internacionales o si, más bien, en su defecto, puede servir de impulso a la inversión, dado que podrían estarse evitando las consecuencias de la ineficiencia y falta de productividad que caracteriza a gran parte de la administración pública.
Lo restante del presente artículo se estructura como sigue: en la sección 2 se revisa la literatura, en la cual se describen las principales posturas teóricas sobre los efectos de la corrupción y las investigaciones empíricas aplicadas en diversos países o regiones. En la sección 3 se detallan los datos utilizados y la metodología de VAR bayesiano, considerando sus ventajas frente a otros métodos de estimación más frecuentes. Finalmente, en la sección 4 se presentan los resultados de la estimación con las respectivas interpretaciones y en la 5 se concluye.
2. REVISIÓN DE LA LITERATURA
Dado el objetivo de la presente investigación, son relevantes para la revisión de la literatura las relaciones entre: (i) corrupción e inversión privada; (ii) corrupción y crecimiento económico; y (iii) corrupción y riesgo país.
2.1 Corrupción e inversión privada
Por lo general, se cree que la corrupción desincentiva la inversión privada en tanto genera cargas administrativas y económicas adicionales para las empresas e incertidumbre en el entorno de operación de las mismas. De este modo, los capitales de los inversionistas migrarían hacia países con sistemas más transparentes (Dang, 2016). Partiendo de esta premisa, son muchos los estudios empíricos que hallan que la relación entre corrupción e inversión es negativa. Así, Mauro (1995), aplicando una regresión con variables instrumentales, encuentra un efecto negativo de la percepción de corrupción sobre la inversión para una muestra de setenta países. Este estaría siendo explicado por la ineficiencia burocrática. Asimismo, Wei (1997) y Wei y Wu (2002) hallan un efecto negativo y estadísticamente significativo de la percepción de corrupción sobre la inversión extranjera. También se argumenta que los países percibidos como corruptos suelen recibir sustancialmente menos inversión extranjera. Posteriormente, Voyer y Beamish (2004) proponen un análisis de la inversión japonesa en una muestra de 59 países y muestran que la corrupción genera efectos negativos, especialmente en las economías emergentes. Por otra parte, Baliamoune-Lutz y Ndikumana (2008) aplican un modelo de datos de panel no balanceado para 33 países de África, hallando una relación inversa entre la corrupción y la inversión privada. Un caso particular es el estudio de Zelekha y Bar-Efrat (2011), en el cual analizan los efectos de la corrupción, el terrorismo y el crimen en la inversión privada de Israel, hallando una relación negativa, pero no significativa. Estos autores sugieren que esto puede deberse a que la corrupción ya se encuentra implícitamente descrita en el crimen, variable que sí es significativa en el modelo. Más recientemente, Sbaouelgi (2019), estudiando el caso de los países del Medio Oriente y el norte de África, halla que los efectos de la corrupción han disminuido las inversiones privadas de los hogares. Por su parte, Hamdi y Hakimi (2020) buscan determinar la relación dinámica entre la corrupción y el crecimiento económico en Túnez, para lo cual usan una muestra de datos de 1976 a 2015 y, mediante un modelo de corrección de errores vectorial, muestran que la corrupción sería la causa principal de la desaceleración de las actividades de inversión y de la baja entrada de capitales extranjeros en Túnez.
No obstante, algunos autores como Leff (1964) plantean que la corrupción puede generar efectos positivos en la inversión dado que, al permitirse los sobornos, estos reducirían el riesgo al que están sujetos los inversionistas. En otras palabras, podría agilizar el desarrollo de sus proyectos de inversión, más allá de las trabas burocráticas. Este efecto permite que un país alcance niveles de inversión que de otra manera no serían posibles. Entonces, por el lado de los estudios que hallan que la relación entre corrupción e inversión es positiva, tenemos a Egger y Winner (2005), quienes estiman un modelo de datos de panel para 73 países. Asimismo, Helmy (2013), mediante un análisis de datos de panel para 21 países del Medio Oriente y norte de África, encuentra que existe una relación positiva y significativa entre percepción de corrupción e inversión. Por su parte, Zheng y Xiao (2020) parten de un modelo teórico para examinar las condiciones bajo las cuales la corrupción impulsa la inversión, para luego, mediante un modelo empírico y una muestra de datos de inversión en infraestructura y corrupción, mostrar que la inversión está negativamente correlacionada con los esfuerzos anticorrupción en China, comprobando lo postulado por su modelo teórico. Qureshi et al. (2021) buscan también determinar la relación causal entre la corrupción y la inversión extranjera mediante un modelo VAR de datos de panel (PVAR) para 54 países desarrollados entre 1996 y 2018, y hallan que hay una relación bidireccional entre la inversión y la corrupción; asimismo, sus resultados muestran que el control de la corrupción tiene una relación inversa con la inversión extranjera en los países en vías de desarrollo, lo cual implica que una baja calidad en las instituciones y un alto nivel de corrupción en dichos países favorecen la inversión.
2.2 Corrupción y crecimiento
La literatura sobre la relación entre corrupción y crecimiento económico se estructura en términos de dos teorías. La primera es la “hipótesis de arena en las llantas” (“sand the wheels hypothesis”), que postula que la corrupción frena el crecimiento económico principalmente debido a que genera ineficiencia en la administración del Estado (Méon & Sekkat, 2005). Esto sucede porque los empleados públicos pueden retrasar intencionalmente los procesos, con el objetivo de exigir sobornos. Al respecto, la inversión pública también se ve perjudicada, debido a que se reduce el rendimiento que se puede obtener a partir de ella, volviéndola ineficaz para aumentar el crecimiento (Haque & Kneller, 2008). En esa línea, Mauro (1995) emplea un modelo de los mínimos cuadrados ordinarios (MCO) con variables instrumentales para una amplia muestra de países, y concluye que la corrupción tiene un efecto negativo y estadísticamente significativo sobre el crecimiento económico. Asimismo, Bliss y Di Tella (1997) y Tanzi y Davoodi (1998) encuentran que la corrupción aumenta los costos tanto para las empresas como para el gobierno, de modo que genera un menor crecimiento. Del Monte y Papagni (2001) estiman un panel dinámico para Italia, hallando también una relación negativa entre ambas variables. A su vez, Méon y Sekkat (2005) concluyen que se acepta la hipótesis de arena en las llantas para 71 países. Gyimah-Brempong y Muñoz (2006) analizan un periodo de veinte años para una muestra de 63 países divididos por regiones y encuentran que los mayores impactos negativos de la percepción de corrupción en el crecimiento se dan en el África subsahariana. Por su parte, Grabova (2014) evalúa el impacto de la corrupción en el crecimiento económico de veintidós países en desarrollo mediante un modelo de datos de panel y halla una relación negativa y significativa. Recientemente, Robles-Laines (2019) utiliza la metodología de rezagos autorregresivos distribuidos para evaluar los efectos de la corrupción en el crecimiento económico del Perú y concluye que a corto plazo no existe un efecto significativo, pero que a largo plazo reducir la corrupción sí mejora el crecimiento. Además, Hewa Wellalage y Thrikawala (2022) utilizan datos de promedios de pagos de sobornos registrados en empresas e instituciones de América Latina para examinar los efectos de la corrupción en el nivel de innovación de las empresas y su crecimiento, y encuentran evidencia que apoya la hipótesis de arena en las llantas; asimismo, hacen hincapié en que el efecto negativo es mayor en la innovación de procesos que en la innovación de productos.
La segunda teoría es la “hipótesis del aceite en las llantas” (‘grease the wheels hypothesis”), que plantea que la corrupción puede acelerar los procesos administrativos frente a la ineficiencia generalizada de los funcionarios públicos. En esa línea, Huntington (1968) apunta que lo único peor para el crecimiento económico que una burocracia rígida y deshonesta es una burocracia rígida y honesta. Así, se parte de la premisa de que la corrupción permite realizar tratos o concesiones beneficiosos para el país, que de otra manera no se habrían realizado, puesto que estarían bajo la forma de sobornos (Freckleton et al., 2012). Por ejemplo, Rock y Bonnett (2004) realizaron múltiples regresiones con diferentes muestras de países y encontraron que la corrupción incrementa el crecimiento económico en el Este asiático. Asimismo, Méndez y Sepúlveda (2006) muestran que el nivel de percepción de corrupción que maximiza el crecimiento económico es significativamente mayor que cero. Vial y Hanoteau (2010), por otro lado, encuentran que los sobornos y pagos indirectos de impuestos para plantas manufactureras de Indonesia tienen un efecto positivo, significativo y persistente sobre el crecimiento de cada planta. De manera similar, Wang y You (2012) realizan un estudio para empresas chinas y concluyen que la corrupción contribuye a su desarrollo. Posteriormente, Dzhumashev (2014) muestra que la corrupción mejora la eficiencia económica de las empresas cuando el tamaño del gobierno está por encima del óptimo, lo cual implica que un determinado nivel de corrupción puede ser beneficioso para el crecimiento. A su vez, Huang (2016) emplea un análisis de causalidad de Granger para paneles, calculado con bootstrap para trece países de Asia-Pacífico, y halla una relación positiva y significativa entre corrupción y crecimiento para Corea del Sur y China. Por su parte, Saha y Sen (2021) examinan los regímenes políticos en la mediación de la relación entre la corrupción y el crecimiento de un país, mediante un modelo de datos de panel para cien países de 1984 a 2016, y muestran que en países donde predomina la autocracia como régimen político, un mayor nivel de corrupción genera un crecimiento económico significativamente mejor.
2.3 Corrupción y riesgo país
Podemos entender por riesgo país al conjunto de riesgos vinculados a las inversiones en el mismo. Así, como explica Howell (1998), el objetivo de evaluar esta variable es pronosticar eventos que puedan alterar las ganancias esperadas de los inversores. En ese contexto, tenemos que la incertidumbre es un factor que puede generar variaciones y, como apunta Wei (1997), resulta que la corrupción la aumenta significativamente. Por ende, un país que presente altos niveles de corrupción será más propenso a tener una peor calificación en este aspecto. Así, Pellegrini y Gerlagh (2004), quienes exploran los diferentes canales de transmisión mediante los cuales la corrupción afecta al crecimiento económico, encuentran como factores relevantes a la inversión, la educación, la apertura comercial y la inestabilidad política. Dado que esta última se asocia con un aumento en el riesgo país, los autores señalan que existe una relación negativa con la corrupción. Mo (2001) llega a conclusiones similares, pues indica que el canal de transmisión principal mediante el cual la corrupción afecta al crecimiento también es la inestabilidad política. Por su parte, Farzanegan y Witthuhn (2017) analizan las implicancias de una población joven en la forma en que la corrupción afecta a la estabilidad política de un país. Para ello, usan un modelo de datos de panel de 1984 a 2012 para una muestra de más de cien países y encuentran que la corrupción desestabiliza los sistemas políticos de un país cuando la proporción de población joven sobre población adulta supera el 20 % (aproximadamente).
En otra línea, Davis y Ruhe (2003) señalan que una parte significativa del riesgo país es explicada por la corrupción percibida. Wu (2006) analiza el efecto de la corrupción en firmas multinacionales y concluye que está fuertemente correlacionada con el riesgo país. Por otro lado, Ismail y Rashid (2014), mediante un análisis de series de tiempo para Pakistán, hallan una relación causal indirecta entre la corrupción y la inestabilidad política, la cual se da a través de la ineficiencia judicial. Finalmente, Abu et al. (2015) realizan un test de causalidad de Granger entre corrupción e inestabilidad política, asociada al riesgo país en la Comunidad Económica de Estados de África Occidental. Sus resultados indican que hay una relación positiva de largo plazo. Asimismo, Khan y Farooq (2019) analizan la interdependencia entre la corrupción, la inestabilidad política y el desarrollo sostenible mediante un modelo de mínimos cuadrados en tres etapas (3SLS) para una muestra de veintiocho países del año 2000 al 2014. Sus resultados muestran que existe una relación inversa entre la inestabilidad política y la corrupción, en la medida en que la corrupción contribuye a la mejora de la estabilidad política y, al mismo tiempo, la estabilidad política aumenta la corrupción.
3. METODOLOGÍA
La presente investigación tiene por objeto estudiar la relación entre la percepción de corrupción, el riesgo país, la inversión privada y el crecimiento económico. Para ello, se estimará un modelo VAR bayesiano (BVAR), el cual es adecuado para estudiar estas interrelaciones, pues la estructura de vectores autorregresivos toma a todas las variables como endógenas, de modo que se explican entre sí. Además, el enfoque bayesiano permite añadir información previa a la estimación, con lo cual se obtendrán resultados más precisos y que carecen del sesgo habitual de hallar los “verdaderos parámetros” que tiene la econometría frecuentista (Dieppe et al., 2018).
Dado esto, se estudia el caso peruano debido a que la percepción de corrupción es relevante al momento de definir la estabilidad del país y su dinámica económica. El periodo de análisis va desde el segundo trimestre del 2004 hasta el segundo trimestre del 2019, esto debido a que los datos de la variable “percepción de corrupción” de Google Trends solo se encuentran disponibles desde 2004 y se pierde el primer trimestre de información al tomar los rezagos necesarios para la estimación. Las variables del sistema son descritas en la Tabla 1.
Tabla 1
Descripción de variables del modelo
|
Variable |
Descripción / Fuente |
Abreviación |
|
Percepción de la corrupción |
Primera diferencia del índice del término “corrupción política” en el Perú, extraída de Google Trends. |
CORRUPTION |
|
Riesgo país |
Diferencial de rendimientos del índice de bonos de mercados emergentes (EMBIG), extraída del Banco Central de Reserva del Perú. |
COUNTRY - RISK |
|
Inversión privada |
Tasa de crecimiento de la inversión bruta fija privada, extraída del Banco Central de Reserva del Perú. |
INVESTMENT |
|
Crecimiento económico |
Tasa de crecimiento del producto bruto interno, extraída del Banco Central de Reserva del Perú. |
GROWTH |
3.1 VAR bayesiano
Como se mencionó, la econometría bayesiana permite incorporar información previa a la estimación conforme a la regla de Bayes, que podemos expresar como:

Donde p(θ|y) es la estimación a posteriori de θ condicionada a la información contenida en y; f(y|θ) es la función de verosimilitud; p(θ) es el “prior” (información que se incorpora a la estimación); y f(y) es la densidad de la información. De esto se obtiene que:

Es importante resaltar que el prior es una información que no depende de los datos. Dado ello, la estructura del modelo VAR(p) será:

En la presente investigación utilizaremos el “Minnesota prior” (Litterman, 1986), que es el más empleado en la literatura de los VAR bayesianos. Según explican Barráez et al. (2008), bajo este prior se asume que cada ecuación del sistema se comporta como un AR(1); por ende, la media de todos los parámetros es cero, a excepción del coeficiente que acompaña al primer rezago de la variable dependiente, el cual tiene una media igual a uno. Asimismo, se asume que las desviaciones estándar de los coeficientes decrecen conforme el número de rezagos aumenta; y que los parámetros no están correlacionados entre sí.
La cantidad óptima de rezagos será determinada sobre la base de los criterios de Akaike (1969), Schwarz (1978), y Hannan y Quinn (1979). Luego, se obtendrán las funciones de impulso-respuesta considerando, para la identificación de los shocks, una descomposición triangular, en lugar de la descomposición de Cholesky, ya que en esta última la matriz de varianza-covarianza se normaliza a la identidad, lo cual es poco recomendable si se pretende analizar la varianza de los shocks. De igual forma, el ordenamiento de las variables será corruption-country_risk-investment-growth, siendo corruption la variable más exógena, debido que la percepción de la corrupción no suele estar afectada por el crecimiento del país o su nivel de riesgo, sino que está principalmente determinada por los escándalos políticos. Asimismo, growth se consideraría como la más endógena, ya que el crecimiento suele estar muy afectado por todas las demás variables en cuestión.
Respecto al número de iteraciones, se realizarán 2000, de las cuales las primeras 1000 serán eliminadas con el fin de evitar un sesgo proveniente de las condiciones iniciales. Es importante señalar que, como indican Sims y Zha (1999), cuando se trabaja con los VAR bayesianos se recomienda utilizar un intervalo de confianza de 68 % para el pronóstico de los impulsos respuesta, con el fin de evitar los errores conceptuales y computacionales de los intervalos clásicos. Además, se realizará el análisis de la descomposición de varianza para complementar la interpretación de los resultados.
3.2 Ventajas y consideraciones sobre los modelos VAR bayesianos
La econometría bayesiana y, en específico, los modelos BVAR presentan una serie de ventajas al momento de realizar estudios y pronósticos de variables macroeconómicas. Las principales son:
3.2.1 Muestras pequeñas
Temas como la corrupción o percepción de corrupción en el Perú suelen estar sujetos a problemas de escasez de datos. Así, al no haber un gran número de observaciones disponibles, se suelen descartar metodologías de series de tiempo, como los modelos VAR. Sin embargo, los modelos BVAR pueden ser trabajados con muestras pequeñas (véase Rünstler & Sédillot, 2003; Utlaut & Van Roye, 2010; Giannone et al., 2014; Lopreite & Mauro, 2017) y aun así presentar resultados fiables.
3.2.2 Series no estacionarias
La gran mayoría de las series macroeconómicas presentan raíz unitaria, por lo cual suele ser complicado trabajar con ellas en diferentes metodologías (debido a las numerosas transformaciones que se deben realizar). Los modelos BVAR pueden trabajar con series no estacionarias dado que, como afirma Uhlig (1994, p. 663), “los métodos bayesianos tienen naturalmente en cuenta la incertidumbre sobre la presencia de raíces unitarias”. Asimismo, algunos autores como Kim y Lee (2008), Gimet y Lagoarde-Segot (2011), Anagnostou y Papadamou (2014) y Rezitis (2015) señalan que el hecho de que las series no sean estacionarias no afecta a las estimaciones bayesianas.
3.2.3 Inferencia bayesiana
Dada la utilización de variables macroeconómicas relevantes, como la inversión privada o el crecimiento económico, el análisis del modelo puede usarse para sugerir cambios en la política. Es en este rubro en el que la inferencia bayesiana permite obtener mejores resultados en condiciones específicas previamente definidas, como un cambio en la clasificación de riesgo del país o un decrecimiento significativo en la inversión. En otras palabras, como postuló Sims (2007, p. 2), “la inferencia bayesiana debería ser el punto de partida para discutir las implicaciones del análisis de datos con los tomadores de decisiones”, ya que la misma, a diferencia del enfoque frecuentista, permite incorporar probabilidades a las hipótesis para representar lo incierto. No considerar dichas probabilidades puede conducir a malinterpretaciones. Asimismo, el enfoque frecuentista realiza un análisis considerando únicamente la información de la muestra, que puede tener diferentes condiciones o creencias iniciales, mientras que el enfoque bayesiano trabaja con un prior específico que puede transformar una distribución inicial en una distribución actualizada condicional a las observaciones.
4. RESULTADOS
4.1 Elección del rezago óptimo
Para la elección del modelo BVAR más adecuado, se requiere conocer el rezago óptimo. Este se determina por aquel que minimice los criterios de información. Dado que se trabaja con datos trimestrales, se consideró un máximo de cuatro rezagos.
Tabla 2
Selección del rezago óptimo para el modelo
|
Selection-order criteria Sample: 2005q2 – 2019q1 Number of obs = 56 |
||||||||
|
lag |
LL |
LR |
Df |
p |
FPE |
AIC |
HQIC |
SBIC |
|
0 |
-99,6265 |
,000476 |
3,70095 |
3,75703 |
3,84561 |
|||
|
1 |
-43,9569 |
111,34 |
16 |
0,0000 |
,000116 |
2,28417 |
2,56461 |
3,00751 |
|
2 |
-22,4109 |
43,092 |
16 |
0,0000 |
,000096 |
2,0861 |
2,59089 |
3,38812 |
|
3 |
27,8282 |
100,48 |
16 |
0,0000 |
,000029 |
,863277 |
1,59241 |
2,74396* |
|
4 |
54,5941 |
53,532* |
16 |
0,0000 |
,000021* |
,478782* |
1,43227* |
2,93814 |
Como se puede observar, los criterios de Akaike y Hannan-Quinn se minimizan con cuatro rezagos. Por tanto, se opta por estimar un modelo BVAR(4).
4.2 Modelo base
Siguiendo a Dieppe et al. (2018), consideraremos para los hiperparámetros aquellos valores que son más usados en la literatura para el Minnesota Prior y que se muestran en la Tabla 3.
Tabla 3
Selección de hiperparámetros
|
Hiperparámetros |
Valores |
|
Overall tightness |
λ1 = 0,1 |
|
Cross-variable weighting |
λ2 = 0,5 |
|
Lag decay |
λ3 = 2 |
|
Exogenous variable tightness |
λ4 = 100 |
4.3 Funciones impulso-respuesta
Las funciones impulso-respuesta nos permiten determinar cómo reaccionan las variables ante un shock en la percepción de la corrupción en el Perú. Se consideró un nivel de confianza del 68 % para las bandas de error y un pronóstico para veinte trimestres.
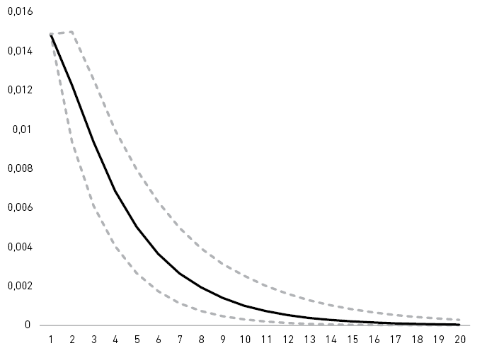
Figura 1
Función impulso-respuesta: corrupción e inversión privada

En la Figura 1 se puede observar que los shocks en la percepción de corrupción generan un efecto negativo y significativo en la inversión privada. Este se diluye rápidamente, haciéndose no significativo luego del primer periodo. Este resultado está en línea con los estudios de Mauro (1995), Voyer y Beamish (2004) y Sbaouelgi (2019), y puede explicarse por el hecho de que, al producirse un shock en la percepción de corrupción, aumenta la incertidumbre para los inversionistas, los cuales podrían retirar y llevar sus capitales a un país que consideren menos riesgoso o que afecte menos su rentabilidad esperada. Asimismo, que este efecto se diluya rápidamente puede entenderse como evidencia de que los inversionistas, al saber que la corrupción está altamente “naturalizada” en el Perú, ajustarían sus expectativas rápidamente tomando en cuenta esto.
Figura 2
Función impulso-respuesta: corrupción y crecimiento económico

En la Figura 2 se observa que los shocks en la percepción de corrupción disminuyen el crecimiento económico, aunque este efecto se diluye luego del primer periodo. Los resultados en el corto plazo abonan a favor de la hipótesis de arena en las llantas y están en línea con los estudios de Mauro (1995), Méon y Sekkat (2005) y Grabova (2014). Además, que el efecto converja rápidamente a cero puede interpretarse como evidencia de la sólida base macroeconómica peruana, de tal modo que las coyunturas institucionales no afectarían de forma permanente las dinámicas de crecimiento.
Pese a que los efectos negativos que producen los shocks de corrupción en el crecimiento económico y la inversión privada se diluyen rápidamente, al ser la corrupción un fenómeno bastante presente en la economía peruana, estos shocks pueden producirse repetidamente a lo largo del tiempo. En otras palabras, aunque los efectos del shock se diluyan, de todos modos, en los siguientes periodos pueden repetirse nuevamente varios shocks sucesivos que seguirán prolongando los efectos de la percepción de corrupción por un largo tiempo.
Figura 3
Función impulso-respuesta: corrupción y riesgo país

En la Figura 3 se observa que los shocks en la percepción de corrupción generan un incremento estadísticamente significativo en el riesgo país, el cual tarda varios periodos en diluirse. Este resultado está en línea con el estudio de Mo (2001) y puede entenderse en el sentido de que la corrupción tiene impactos a través de la inestabilidad política. Además, se encuentra que a pesar de la “naturalización” de este fenómeno en el Perú, el efecto es más permanente. Esto puede deberse a que los grandes escándalos suelen ser comentados por un largo periodo de tiempo por la prensa nacional e internacional, lo cual en algunos casos genera una perspectiva global de inestabilidad política.
4.4 Descomposición de varianza
El análisis de la descomposición de varianza permite determinar qué porcentaje de las variaciones de las variables de estudio se explican por los shocks de las demás variables o por sí mismas.
Figura 4
Descomposición de varianza del crecimiento económico

Se observa que alrededor del 80 % de las variaciones del crecimiento económico son explicadas por sus propios shocks. Asimismo, los shocks en la percepción de corrupción generan un 3,44 % de las fluctuaciones en el crecimiento en el vigésimo periodo. A partir de los resultados se puede entender que, dada la naturalización de este fenómeno en el Perú, las alteraciones en la percepción no influyen mucho en el crecimiento económico.
Figura 5
Descomposición de varianza de la inversión privada

En la Figura 5 se observa que las fluctuaciones en la inversión privada se explican principalmente por sus propios shocks. De otro lado, los shocks en la percepción de corrupción generan solo un 3,67 % de las fluctuaciones en la inversión privada en el vigésimo periodo. Esto puede deberse a que los inversionistas incorporan en sus expectativas el hecho de que el Perú es un país donde la corrupción ya está ampliamente extendida, de modo que su proyección de beneficios ya tendría en cuenta eso.
En la Figura 6 se observa que más del 90 % de las variaciones del riesgo país son explicadas por sus propios shocks y que los shocks en la percepción de corrupción generan un 5,69 % de sus fluctuaciones en el vigésimo periodo, esto mediante aspectos vinculados a la inestabilidad política. No obstante, la misma no se vincula completamente con la corrupción, lo cual concuerda con el bajo porcentaje de poder explicativo de la variable. Por otro lado, se evidencia que la inversión privada y el crecimiento económico no tienen participación, debido a que el riesgo país influye sobre ambos y no al revés.
Figura 6
Descomposición de varianza del riesgo país

4.5 Análisis de robustez
Para corroborar la robustez de los resultados se desarrollaron dos modelos alternativos, mediante dos enfoques distintos. El primero de ellos consiste en alterar los hiperparámetros del modelo base (que utiliza los recomendados por la literatura del prior); el segundo, en alternar el ordenamiento de las variables en su estimación.
4.5.1 Hiperparámetros alternativos
Para el primer modelo alternativo se aumentó el hiperparámetro λ₂ de 0,5 a 0m7, para otorgarle más peso a los shocks de las variables explicativas, y se disminuyó el hiperparámetro λ₃ de 2 a 1,5, con el fin de reducir el peso de los shocks de la dependiente sobre sí misma (véase la Tabla 4).
Tabla 4
Hiperparámetros alternativos
|
Hiperparámetros |
Valores |
|
Overall tightness |
λ1 = 0,1 |
|
Cross-variable weighting |
λ2 = 0,7 |
|
Lag decay |
λ3 = 1,5 |
|
Exogenous variable tightness |
λ4 = 100 |
Los resultados pueden estar disponibles bajo solicitud y muestran que las funciones impulso-respuesta no presentan ninguna variación significativa respecto a su dirección. Sin embargo, las bandas de error son más anchas que en el modelo base y en algunos casos los efectos tardan más periodos en diluirse. En ese sentido, no se encuentran mayores diferencias en la descomposición de varianza, por lo cual se concluye que los resultados del modelo base superan la prueba de robustez con hiperparámetros alternativos.
4.5.2 Ordenamiento alternativo
Para el segundo modelo alternativo se conservaron los mismos hiperparámetros que en el modelo base, pero se alteró el orden de las variables de inversión privada y crecimiento económico en la estimación ordenamiento: corruption-country risk-growth-investment.
Los resultados están disponibles bajo solicitud y no muestran mayores diferencias respecto al modelo base en sus funciones impulso-respuesta, siendo que se conserva la misma dirección, significancia y tiempo en el cual los efectos se diluyen. Sin embargo, se presentan algunos cambios en la descomposición de varianza. Así, las fluctuaciones del crecimiento económico ya no se explican por los shocks en la inversión privada, y aproximadamente el 10 % de las fluctuaciones en la inversión privada ahora son explicadas por los shocks en el crecimiento económico. Esto se debe fundamentalmente al cambio en el ordenamiento de las variables. Por tanto, tenemos que los resultados del modelo base serían robustos.
5. CONCLUSIONES
Este estudio ha realizado un análisis de los efectos de la percepción de la corrupción en la inversión privada, el crecimiento económico y el riesgo país en el Perú, utilizando datos trimestrales del 2004q2 al 2019q2 por medio de un modelo bayesiano de vectores autorregresivos (BVAR).
Se evidencia que la corrupción tiene un efecto negativo en la inversión privada y el crecimiento económico. Sin embargo, este es significativo solo en el periodo inicial y luego se diluye, lo que puede explicarse por el hecho de que la corrupción está “naturalizada” en la sociedad peruana. En otras palabras, los shocks en la corrupción no representan una alteración sustancial en el sistema económico, pues este aspecto ya estaría incorporado en las expectativas de los inversores. Por otro lado, se encuentra que los shocks en la percepción de corrupción tienen un efecto positivo y más permanente sobre el riesgo país, lo que se debería principalmente a la inestabilidad política que surge como consecuencia de los escándalos, que suelen ser comentados por un largo periodo en la prensa.
Finalmente, dados los resultados, se sugiere destinar recursos que permitan combatir eficazmente la corrupción, con el fin de promover la inversión privada y el crecimiento económico en el Perú. En este sentido, tal como indican Zheng y Xiao (2020), un instrumento efectivo son las políticas anticorrupción, tales como mejorar el salario de los funcionarios públicos más expuestos al soborno, esto bajo la hipótesis de que un sueldo más elevado reduce la probabilidad de dejarse corromper, e incrementar el monitoreo de dichos trabajadores. En otras palabras, a la par de la subida de salarios, se propone supervisar mejor a los funcionarios, con la finalidad de reducir el número de trabajadores corruptos y la cantidad de intentos de soborno.
Créditos de autoría
Sebastián Castro: conceptualización; metodología; software; análisis de datos; investigación; curación de datos; preparación y redacción del primer borrador; redacción; revisión y edición.
REFERENCIAS
Abu, N., Karim, M. Z. A., & Aziz, M. I. A. (2015). Corruption, political instability and economic development in the economic community of west african states (ECOWAS): is there a causal relationship? Contemporary Economics, 9(1), 45-60.
Akaike, H. (1969). Fitting autoregressive models for prediction. Annals of the Institute of Statistical Mathematics, 21(1), 243-247.
Anagnostou, A., & Papadamou, S. (2014). The impact of monetary shocks on regional output: evidence from four south eurozone countries. Région et Développement, 39, 105-130.
Baliamoune-Lutz, M., & Ndikumana, L. (2008). Corruption and growth: exploring the investment channel. University of Massachusetts Amherst-Economics Department. (Working paper 33).
Barráez, D., Bolívar, W., & Cartaya, V. (2008). Un modelo macroeconómico BVAR de predicción para la economía venezolana [Documento presentado]. Reunión XIII de la Red de Investigadores de Bancos Centrales del Continente Americano, Caracas, Venezuela.
Bliss, C., & Di Tella, R. (1997). Does competition kill corruption? The Journal of Political Economy, 105(5), 1001-1023.
Castro, S., Bonilla, N., Unda, F., & Morán, F. (2022). ¿Sabemos medir la corrupción? Desafíos: Economía y Empresa, (001), 83-99.
Dang, Q. V. (2016). The impact of corruption on provincial development performance in Vietnam. Crime, Law and Social Change, 65(4-5), 325-350.
Davis, J. H., & Ruhe, J. A. (2003). Perceptions of country corruption: antecedents and outcomes. Journal of Business Ethics, 43(4), 275-288.
Del Monte, A., & Papagni, E. (2001). Public expenditure, corruption, and economic growth: the case of Italy. European Journal of Political Economy, 17(1), 1-16.
Dieppe, A., Legrand, R., & Van Roye, B. (2018). The bayesian estimation, analysis and regression (BEAR). European Central Bank.
Dzhumashev, R. (2014). Corruption and growth: the role of governance, public spending, and economic development. Economic Modelling, 37, 202-215.
Egger, P., & Winner, H. (2005). Evidence on corruption as an incentive for foreign direct investment. European Journal of Political Economy, 21(4), 932-952.
Farzanegan, M. R., & Witthuhn, S. (2017). Corruption and political stability: does the youth bulge matter?. European Journal of Political Economy, 49, 47-70.
Freckleton, M., Wright, A., & Craigwell, R. (2012). Economic growth, foreign direct investment and corruption in developed and developing countries. Journal of Economic Studies, 39(6), 639-652.
Giannone, D., Lenza, M., Momferatou, D., & Onorante, L. (2014). Short-term inflation projections: a bayesian vector autoregressive approach. International Journal of Forecasting, 30(3), 635-644.
Gimet, C., & Lagoarde-Segot, T. (2011). A closer look at financial development and income distribution. Journal of Banking & Finance, 35(7), 1698-1713.
Grabova, P. (2014). Corruption impact on economic growth: an empirical analysis. Journal of Economic Development, Management, IT, Finance, and Marketing, 6(2), 57-77.
Gyimah-Brempong, K., & Muñoz, S. (2006). Corruption, growth, and income distribution: are there regional differences? Economics of Governance, 7(3), 245-269.
Hamdi, H., & Hakimi, A. (2020). Corruption, FDI, and growth: an empirical investigation into the Tunisian context. The International Trade Journal, 34(4), 415-440.
Hannan, E. J., & Quinn, B. G. (1979). The determination of the order of an autoregression. Journal of the Royal Statistical Society, 41(2), 190-195.
Haque, M. E., & Kneller, R. (2008). Public investment and growth: the role of corruption. Centre for Growth and Business Cycle Research. (Discussion paper 98).
Helmy, H. E. (2013). The impact of corruption on FDI: is MENA an exception? International Review of Applied Economics, 27(4), 491-514.
Hewa Wellalage, N., & Thrikawala, S. (2022). Does bribery sand or grease the wheels of firm level innovation: evidence from Latin American countries. SSRN 4161412.
Howell, L. D. (1998). The handbook of country risk analysis. The PRS Group.
Huang, C. J. (2016). Is corruption bad for economic growth? Evidence from Asia-Pacific countries. The North American Journal of Economics and Finance, 35, 247-256.
Huntington, S. (1968). Political order in changing societies. Yale University Press.
Ismail, A., & Rashid, K. (2014). Time series analysis of the nexus among corruption, political instability and judicial inefficiency in Pakistan. Quality & Quantity, 48(5), 2757-2771.
Khan, R. E. A., & Farooq, S. (2019). Corruption, political instability and sustainable development: the interlinkages. Journal of Quantitative Methods, 3(1), 57-84.
Kim, S., & Lee, J. W. (2008). Demographic changes, saving, and current account: an analysis based on a panel VAR model. Japan and the World Economy, 20(2), 236-256.
Leff, N. H. (1964). Economic development through bureaucratic corruption. American Behavioral Scientist, 8(3), 8-14.
Litterman, R. B. (1986). Forecasting with bayesian vector autoregressions – five years of experience. Journal of Business and Economic Statistics, 4(1), 25-38.
Lopreite, M., & Mauro, M. (2017). The effects of population ageing on health care expenditure: a bayesian var analysis using data from Italy. Health Policy, 121(6), 663-674.
Mauro, P. (1995). Corruption and growth. Quarterly Journal of Economics, 110(3), 681-712.
Méndez, F., & Sepúlveda, F. (2006). Corruption, growth and political regimes: cross country evidence. European Journal of Political Economy, 22(1), 82-98.
Méon, P. G., & Sekkat, K. (2005). Does corruption grease or sand the wheels of growth? Public Choice, 122(1-2), 69-97.
Mo, P. H. (2001). Corruption and economic growth. Journal of Comparative Economics, 29(1), 66-79.
Pellegrini, L., & Gerlagh, R. (2004). Corruption’s effect on growth and its transmission channels. Kyklos, 57(3), 429-456.
Quiroz, A. W. (2013). Historia de la corrupción en el Perú. Instituto de Estudios Peruanos.
Qureshi, F., Qureshi, S., Vo, X. V., & Junejo, I. (2021). Revisiting the nexus among foreign direct investment, corruption and growth in developing and Developed Markets. Borsa Istanbul Review, 21(1), 80-91.
Rezitis, A. N. (2015). The relationship between agricultural commodity prices, crude oil prices and US dollar exchange rates: a panel var approach and causality analysis. International Review of Applied Economics, 29(3), 403-434.
Robles-Laines, J. A. (2019). ¿Cómo afecta la corrupción al crecimiento económico en el Perú? [Tesis de bachillerato en Economía]. Universidad de Lima.
Rock, M., & Bonnett, H. (2004). the comparative politics of corruption: accounting for the East Asian paradox in empirical studies of corruption, growth and investment. World Development, 32(6), 999-1017.
Rünstler, G., & Sédillot, F. (2003). Short-term estimates of euro area real GDP by means of monthly data. European Central Bank. (Working paper 276).
Saha, S., & Sen, K. (2021). The corruption-growth relationship: does the political regime matter? Journal of Institutional Economics, 17(2), 243-266.
Sbaouelgi, J. (2019). The impact of corruption on economic growth in Mena region. Romanian Economic and Business Review, 14(2), 40-54.
Schwarz, G. (1978). Estimating the dimension of a model. The annals of statistics, 6(2), 461-464.
Sims, C. A. (2007). Bayesian methods in applied econometrics, or, why econometrics should always and everywhere be bayesian. Princeton University.
Sims, C. A., & Zha, T. (1999). Error bands for impulse responses. Econometrica, 67(5), 1113-1155.
Tanzi, V., & Davoodi, H. (1998). Corruption, public investment, and growth. En H. Shibata & I. Toshihiro (Eds.), The Welfare State, Public Investment, and Growth (pp. 41-60). Springer.
Uhlig, H. (1994). What Macroeconomists should know about unit roots: a bayesian perspective. econometric theory, 10(3-4), 645-671.
Urbina, D. (2018). Adaptarse para no morir: las modalidades de la corrupción frente a los mecanismos anticorrupción. Quehacer Económico, (1), 37-43.
Utlaut, J., & Van Roye, B. (2010). The effects of external shocks to business cycles in emerging Asia: a bayesian-var approach. Kiel Institute for the World Economy. (Working paper 1668).
Vial, V., & Hanoteau, J. (2010). Corruption, manufacturing plant growth, and the Asian paradox: Indonesian evidence. World Development, 38(5), 693-705.
Voyer, P. A., & Beamish, P. W. (2004). The effect of corruption on Japanese foreign direct investment. Journal of Business Ethics, 50(3), 211-224.
Wang, Y., & You, J. (2012). Corruption and firm growth: evidence from China. China Economic Review, 23(2), 415-433.
Wei, S. J. (1997). Why is corruption so much more taxing than tax? arbitrariness kills. National Bureau of Economic Research. (Working paper 6255).
Wei, S. J., & Wu, Y. (2002). Negative alchemy? Corruption, composition of capital flows, and currency crises. National Bureau of Economic Research. (Working paper 8187).
Wu, S. Y. (2006). Corruption and cross-border Investment by multinational firms. Journal of Comparative Economics, 34(4), 839-856.
Zelekha, Y., & Bar-Efrat, O. (2011). Crime, terror and corruption and their effect on private Investment in Israel. Open Economies Review, 22(4), 635-648.
Zheng, B., & Xiao, J. (2020). Corruption and investment: theory and evidence from China. Journal of Economic Behavior & Organization, 175, 40-54.