Tendencias demográficas del Perú: proyecciones al 2050
Milagros R. Quispe
https://orcid.org/0000-0003-3003-8555
Universidad Nacional Mayor de San Marcos, Facultad de Ciencias Económicas, Escuela de Economía, Lima, Perú
Correo electrónico: [email protected]
Recibido: 26 de agosto del 2021 / Aceptado: 4 de noviembre del 2021
doi: https://doi.org/10.26439/ddee.vi001.5382
RESUMEN. Este trabajo realiza un análisis descriptivo de la evolución de las principales variables demográficas del Perú al 2050. Se analiza la evolución de la tasa global de fecundidad, la estructura de la población por edad, la razón de dependencia y el bono demográfico. Se observa que (i) la fecundidad viene descendiendo de manera sostenida y llegará a 1,7 hijos por mujer en el 2050; (ii) la población infantil se reducirá mientras que habrá un incremento de la población adulta mayor, que llegará a más de 9 millones en el 2050; (iii) la razón de dependencia aumentará por el incremento de la población adulta mayor.
PALABRAS CLAVE: población / fecundidad / demografía / Perú
Demographic trends in Peru: projections to 2050
ABSTRACT. This paper performs a descriptive analysis of the evolution of the main demographic variables in Peru to 2050. The evolution of the total fertility rate, the population structure by age, the dependency ratio and the demographic bonus are analyzed. It is observed that: (i) fertility is falling steadily and will reach 1,7 children per woman in 2050; (ii) the child population will be reduced while there will be an increase in the elderly population becoming more than 9 million in 2050; (iii) the dependency ratio will increase due to an increase in the elderly population.
KEYWORDS: population / fertility / demography / Peru
Códigos JEL: J11, J13, Q56, R23
INTRODUCCIÓN
El Perú se encuentra atravesando un proceso de transición demográfica. La tasa global de fecundidad ha disminuido mientras que la población adulta mayor presenta una tendencia de crecimiento sin compensación de las cohortes menores. Esta situación tiene implicancias importantes en lo económico y lo social, más aún cuando en el Perú los niveles de desarrollo son insuficientes para garantizar las condiciones mínimas de vida a una gran parte de la población.
La disminución de la tasa de natalidad y mortalidad es un proceso conocido como bono demográfico o dividendo demográfico. Este concepto se refiere a la etapa en la que la población en edad de trabajar (15 a 64 años) es mayor que la población en edad dependiente (menores de 15 años y mayores de 65 años). Se estima que en el Perú el bono demográfico habría llegado a un mínimo aproximadamente a finales del 2020, con 50,8 dependientes por cada 100 personas en edad de trabajar, y que luego empezará a aumentar a causa del incremento de la población adulta mayor.
El bono demográfico representa una oportunidad de mejora económica y social a través de aumentos en las tasas de ahorro, la inversión, el gasto en salud, el gasto en seguridad social y el gasto en educación. Empero, es necesario subrayar que la realización de esta oportunidad no es automática. Únicamente será posible si se dan las condiciones adecuadas en empleo, salud, educación y protección social, principalmente para los jóvenes que están en edad de trabajar. Al respecto, Pinto Aguirre (2016) menciona que para aprovechar el bono demográfico se requieren condiciones económicas, sociales y políticas.
El dividendo demográfico que presenta un país puede durar varias décadas, pero siempre hay un punto de inflexión donde la razón de dependencia comienza a aumentar nuevamente. Por tanto, el bono demográfico es limitado. Dado esto, el objetivo del presente estudio es analizar las principales variables demográficas y exponer la importancia económica que tienen los cambios demográficos en el Perú.
La estructura del trabajo es la siguiente: en la segunda sección se presenta la revisión de literatura; en la tercera, se muestran los indicadores demográficos; en la cuarta, se analiza la fecundidad; en la quinta, se examina la estructura de la población por edad; en la sexta, se analiza el bono demográfico y, finalmente, en la séptima y última sección se formulan las conclusiones.
REVISIÓN DE LITERATURA
La transición demográfica es un proceso de cambio en la población que experimentan los países al pasar de perfiles demográficos con altas tasas de natalidad y mortalidad hacia perfiles demográficos con bajas tasas de natalidad y mortalidad. Al respecto, Rizk (2019) expresa que la transición demográfica tiene lugar en los países cuando la tasa de mortalidad y la tasa de fecundidad se están reduciendo. Lee (2003) señala que la transición demográfica empieza con la disminución de la mortalidad, luego la reducción de la fecundidad y, finalmente, el envejecimiento de la población.
Martínez (2013) menciona que la transición demográfica es un cambio que atraviesan las sociedades que en el pasado presentaban altos niveles de natalidad y mortalidad hacia etapas recientes, en las cuales la natalidad y mortalidad son bajas y el crecimiento demográfico es reducido. Para Blue y Espenshade (2011), la transición demográfica es el cambio en la estructura de la población que tiene implicancias en el desarrollo económico y social.
La transición demográfica causa cambios en la estructura de la población por edad. De este modo, si la población en edad de trabajar es mayor que la población dependiente (niños y adultos mayores), es posible que la estructura etaria afecte positivamente al crecimiento económico, si se otorgan previamente las condiciones adecuadas en empleo, salud, educación y protección social, en especial a los jóvenes que están en edad de trabajar. De acuerdo con Bloom y Williamson (1997), el aumento de la población potencialmente activa o población en edad de trabajar puede elevar el ahorro y este, a su vez, impacta positivamente en el capital humano. Asimismo, Carvalho et al. (2016) señalan que la transición demográfica puede afectar a la tasa de interés real de equilibrio (tasa de interés real de pleno empleo) y que un incremento en la longevidad presiona a la baja al tipo de interés real.
La fecundidad es una de las principales variables demográficas de un país. Tiene un papel importante en el crecimiento de la población y su composición etaria. La fecundidad permite estimar el crecimiento aproximado de la población (Arce Mesa et al., 2012). Para Medina Hernández (2012), la fecundidad es un componente demográfico que determina la estructura y el crecimiento de la población. De este modo, la información respecto a la fertilidad de cohortes es importante para conocer la dinámica de la población (Bohk-Ewald et al., 2018).
La reducción de la tasa de natalidad y mortalidad es un proceso conocido como bono demográfico. Este concepto se refiere al periodo en el que la población en edad de trabajar es mayor a la población en edad dependiente. Esto ofrece una oportunidad única que puede ser aprovechada para favorecer el crecimiento económico de un país, dado que los beneficios del bono demográfico podrían resultar en mejores niveles de vida y también en mayores niveles de ahorro e inversión.
Bloom et al. (2003) consideran que el bono demográfico es la variación del crecimiento económico de un país causado por variaciones en su estructura etaria. Para Wongboonsin et al. (2005), el bono demográfico es el beneficio económico que se obtiene de las variaciones demográficas ocurridas en un país. En esta misma línea, Lee et al. (2007) señalan que el bono demográfico es el beneficio económico que se obtiene de los cambios en la estructura por edad de la población. A su vez, Pinto Aguirre (2011) menciona que el ingreso per cápita se incrementa cuando la población en edad de trabajar de un país es mayor que su población dependiente.
Sin embargo, es importante destacar que los beneficios del bono demográfico no se dan automáticamente. Los beneficios potenciales se obtienen únicamente en escenarios específicos y dependen de cómo los agentes y las sociedades responden a los cambios (Cavallo et al., 2018). Para obtener los beneficios que trae consigo el bono demográfico, es necesario que se otorguen las condiciones adecuadas en empleo, salud, educación y protección social, especialmente dirigido a la población que está en edad de trabajar a fin de que puedan ahorrar (Bloom et al., 2007).
INDICADORES DEMOGRÁFICOS DE LA POBLACIÓN PERUANA 2020-2050
En el 2030, la población total del país será cercana a los 36 millones, en el 2040 será 38 millones y pasará de los 39 millones en el 2050 (véase la tabla 1). A pesar de que la población seguirá aumentando por inercia poblacional, el crecimiento será cada vez menor, dado que el crecimiento absoluto, es decir, la diferencia entre nacimientos y defunciones, tendrá una tendencia decreciente al pasar de 375 000 personas por año de la actualidad a 88 000 personas por año en el 2050.
Las proyecciones muestran que los nacimientos disminuirán de 568 000 por año en el 2020 a 443 000 por año en el 2050. Cabe mencionar que el menor número de los nacimientos se debe a la reducción de la tasa global de fecundidad (TGF), cuyo máximo valor se registró en la década de 1960 (6,9 hijos por mujer). Se estima que para el 2020 alcanzaría 2,2 hijos por mujer, es decir, la TGF de reemplazo mínima necesaria para que la población se mantenga en el tiempo (Coutinho & Golgher, 2018), mientras que para el 2050 estará por debajo del nivel de reemplazo, con 1,7 hijos por mujer.
Las defunciones aumentarán de 192 000 en el 2020 a 355 000 en el 2050, por lo que en tan solo 30 años prácticamente se duplicarán. Asimismo, la tasa bruta de mortalidad irá aumentando de 5,9 personas por cada 1000 habitantes en el 2020 a 9,0 personas por cada 1000 habitantes en el 2050. Dado que la tasa de mortalidad infantil se reducirá de 12,6 muertes por cada 1000 nacidos vivos en el 2020 a 10,9 en el 2050, el incremento de las defunciones se deberá principalmente al aumento de las muertes en la población mayor de 60 años, causado por el envejecimiento.
Cabe mencionar que, respecto a la mortalidad infantil, Hanmer et al. (2003) señalan que el ingreso per cápita, los indicadores de salud, así como los indicadores de educación y desigualdad de género, son determinantes en este aspecto. En esta misma línea, O’Hare et al. (2013), luego de haber realizado diversas estimaciones entre el ingreso y la mortalidad infantil, concluyen que el ingreso es un determinante clave de la supervivencia infantil.
En cuanto a la esperanza de vida, se observa que esta será de 80 años en el 2050, siendo la diferencia de años de vida entre el hombre y la mujer de 5 años en promedio.
Tabla 1
Indicadores demográficos, Perú 2020-2050
|
Indicador |
2020 |
2030 |
2040 |
2050 |
|
Población total |
32 625 948 |
35 792 079 |
38 023 290 |
39 363 351 |
|
Nacimientos |
567 512 |
522 790 |
476 376 |
443 337 |
|
Defunciones |
192 215 |
241 503 |
294 352 |
355 024 |
|
Crecimiento absoluto anual |
375 297 |
281 287 |
182 024 |
88 313 |
|
Tasa bruta de natalidad |
17,40 |
14,60 |
12,50 |
11,30 |
|
Tasa bruta de mortalidad |
5,90 |
6,70 |
7,70 |
9,00 |
|
Tasa global de fecundidad |
2,21 |
2,00 |
1,84 |
1,72 |
|
Tasa de mortalidad infantil |
12,60 |
12,00 |
11,40 |
10,90 |
|
Esperanza de vida (total) |
76,90 |
78,10 |
79,10 |
80,10 |
|
Esperanza de vida (hombres) |
74,10 |
75,50 |
76,50 |
77,50 |
|
Esperanza de vida (mujeres) |
79,50 |
80,60 |
81,60 |
82,60 |
Nota. Elaboración propia con datos del Instituto Nacional de Estadística e Informática.
EVOLUCIÓN DE LA TASA GLOBAL DE FECUNDIDAD
La fecundidad es una de las variables demográficas más importantes para evaluar la tendencia del crecimiento de la población. Se expresa a través de la TGF, que se interpreta como el número de hijos por mujer en edad fértil (de 15 a 49 años). Esta variable ha venido descendiendo en el Perú a partir de finales de 1960. En el quinquenio 1950-1955, la TGF en promedio era de 7,0 hijos por mujer, mientras que para el quinquenio 1995-2000 el promedio fue de 3,1 hijos por mujer. En efecto, en la figura 1 se observa que en 1950 la TGF fue de 7 hijos por mujer y de 2,2 hijos por mujer para el 2020. Asimismo, las proyecciones indican que esta tendencia de reducción seguirá hasta el 2050.
Figura 1
Tasa global de fecundidad, Perú 2020-2050

Nota. Elaboración propia con datos del Instituto Nacional de Estadística e Informática.
La figura 1 muestra claramente que la TGF ha venido descendiendo desde fines de la década de los sesenta y con mayor rapidez a inicios de la década de los setenta. Ahora bien, entre 1970 y el 2000, la fecundidad descendió 54 % al bajar de 6,3 hijos por mujer a 2,9 hijos por mujer, es decir, en tan solo 30 años la fecundidad se redujo en más de la mitad. Las proyecciones realizadas muestran que la TGF estará por debajo de la tasa de reemplazo a inicios del 2030 y llegará a 1,7 hijos por mujer en el 2050.
Al respecto, Ferrando y Aramburú (1992) sostienen que la evolución de la fecundidad en el Perú se debe a dos factores: (i) la modernidad en lo social, económico y cultural (que parece haber ocasionado mayor distancia entre ricos y pobres); y (ii) la crisis económica que sufrió el Perú en la década de los ochenta y que condujo a altas tasas de inflación, recesión, deterioro del salario y reducción de los niveles de empleo. Asimismo, los progresos de la educación tanto para el sexo masculino como para el sexo femenino y la difusión de métodos modernos de contracepción explicarían la disminución de la TGF. En esa línea, Guerra García (1991) menciona que en Lima y Callao el aumento de la educación, las mejores oportunidades de trabajo femenino y la extensión de prácticas contraceptivas han ocasionado la disminución del número de hijos por mujer.
A partir del 2000, se observa un sostenido descenso en la TGF, lo que refleja que las peruanas en edad reproductiva están postergando la maternidad. Esto tiene implicancias importantes; por ejemplo, representa oportunidades en el mercado de trabajo y la educación (sobre todo en la educación postsecundaria). La mayoría de las mujeres jóvenes y con estudios no tienen interés de renunciar o comprometer el desarrollo de sus carreras profesionales para convertirse en madres (Stefanelli et al., 2016). También, mayores niveles en educación y menores niveles de fecundidad están permitiendo más participación de la mujer en el mercado laboral.
Cabe mencionar que la disminución de la fecundidad también es notoria en América Latina. Según los datos de la Comisión Económica para América Latina y el Caribe (CEPAL), la fecundidad de las mujeres adolescentes de 15 a 19 años ha disminuido: ha pasado de 68,1 nacidos vivos por cada 1000 adolescentes en el periodo 2010-2015 a 63 en el periodo 2015-2020. Asimismo, la tabla 2 muestra que la TGF está por debajo del nivel de reemplazo.
Tabla 2
Tasa global de fecundidad, América Latina 2015-2050
|
País |
2015-2020 |
2020-2025 |
2025-2030 |
2030-2035 |
2035-2040 |
2040-2045 |
2045-2050 |
|
Argentina |
2,2 |
2,1 |
2,0 |
2,0 |
1,9 |
1,8 |
1,8 |
|
Bolivia |
2,8 |
2,5 |
2,3 |
2,1 |
2,0 |
1,9 |
1,8 |
|
Brasil |
1,8 |
1,7 |
1,7 |
1,8 |
1,8 |
1,8 |
1,8 |
|
Chile |
1,7 |
1,7 |
1,7 |
1,8 |
1,8 |
1,8 |
1,8 |
|
Colombia |
1,8 |
1,7 |
1,7 |
1,7 |
1,8 |
1,8 |
1,8 |
|
Costa Rica |
1,7 |
1,7 |
1,6 |
1,6 |
1,6 |
1,7 |
1,7 |
|
Cuba |
1,6 |
1,6 |
1,7 |
1,7 |
1,7 |
1,7 |
1,8 |
|
Ecuador |
2,5 |
2,3 |
2,2 |
2,1 |
2,0 |
2,0 |
1,9 |
|
El Salvador |
1,8 |
1,7 |
1,7 |
1,7 |
1,8 |
1,8 |
1,8 |
|
Guatemala |
2,6 |
2,3 |
2,0 |
1,9 |
1,8 |
1,7 |
1,7 |
|
Haití |
2,8 |
2,5 |
2,2 |
2,0 |
1,8 |
1,7 |
1,7 |
|
Honduras |
2,1 |
1,8 |
1,7 |
1,7 |
1,8 |
1,8 |
1,8 |
|
México |
2,2 |
2,2 |
2,2 |
2,1 |
2,1 |
2,1 |
2,1 |
|
Nicaragua |
2,1 |
2,0 |
1,8 |
1,7 |
1,7 |
1,8 |
1,8 |
|
Panamá |
2,4 |
2,4 |
2,3 |
2,3 |
2,2 |
2,2 |
2,1 |
|
Paraguay |
2,4 |
2,2 |
2,0 |
1,9 |
1,8 |
1,8 |
1,7 |
|
República Dominicana |
2,4 |
2,3 |
2,2 |
2,1 |
2,0 |
2,0 |
1,9 |
|
Uruguay |
2,0 |
1,9 |
1,9 |
1,8 |
1,8 |
1,8 |
1,7 |
|
Venezuela |
2,2 |
2,1 |
2,0 |
1,9 |
1,8 |
1,8 |
1,7 |
|
América Latina |
2,0 |
2,0 |
1,9 |
1,9 |
1,9 |
1,9 |
1,9 |
Juárez y Gayet (2015) encuentran que la disminución de la fertilidad en América Latina se debe a las mejoras en la educación de las mujeres y a su participación en el mercado laboral, mientras que el trabajo de Sánchez-Páez y Ortega (2018), luego de hacer un análisis comparativo entre América Latina y África subsahariana, concluye que el incremento de la prevalencia de anticonceptivos ha reducido la fertilidad en adolescentes en 6,8 % en América Latina y en 4,1 % en África subsahariana. Por su parte, Adsera y Menéndez (2011) consideran que la fecundidad disminuyó en América Latina en el periodo de recesiones económicas, principalmente con el aumento del desempleo.
La relación entre la fecundidad y la economía no solo sucede en América Latina. Adsera (2004) encontró que el alto desempleo y los contratos inestables que predominan en Europa del Sur afectan negativamente a la fecundidad, en especial a las mujeres jóvenes. En esa línea, Puig-Barrachina et al. (2020) hallan que la TGF en España se redujo durante la crisis económica del 2008, principalmente en mujeres de 30 a 34 años; empero, en algunas comunidades la TGF disminuyó antes de la crisis. Por otro lado, Guinnane (2011) explica que la disminución de la fecundidad en América del Norte y Europa se debe principalmente al cambio tecnológico que introdujo métodos modernos de contracepción y a la disminución de la mortalidad infantil.
Asimismo, Lee et al. (2012), a través de la estimación de un modelo panel, encuentran una reducción considerable entre el empleo y la fertilidad en las mujeres de Asia oriental y de la Unión Europea. En este sentido, Heuveline y Hirschman (2015) señalan que, en promedio, la TGF en el sudeste asiático está ligeramente por encima del nivel de reemplazo y que se está reduciendo. Por otra parte, Murthi (2002) menciona que China muestra una reducción en los niveles de natalidad desde 1960 y una tendencia a la baja en la TGF desde 1963 en adelante en zonas urbanas y desde 1969 en adelante en zonas rurales.
ESTRUCTURA DE LA POBLACIÓN POR EDAD
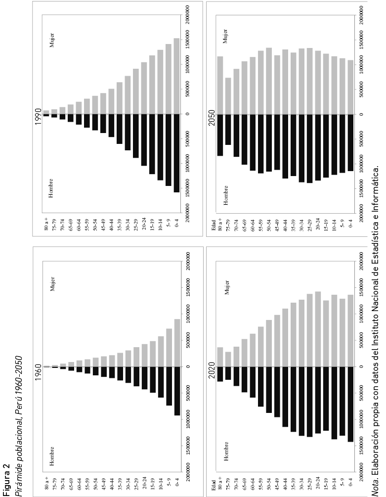
Las estadísticas muestran que la población total seguirá creciendo, empero, a tasas cada vez menores y llegará a pasar los 39 millones de peruanos en el 2050 (véase la tabla 3). Dentro de 10 años, la población aumentará en 3 millones; por tanto, se necesitarán más y mejores servicios de salud (principalmente protección y salud dirigidas a la población adulta mayor), más y mejor servicio de transporte, más viviendas con acceso a infraestructura básica (agua, saneamiento, electricidad y comunicación) y, principalmente, más y mejores puestos de trabajo.
La población infantil (de 0 a 14 años) será menor en los próximos 30 años. En el 2020, la población infantil sería de 8,1 millones, mientras que para el 2050 esta cantidad será menor en 1,2 millones. La figura 2 muestra tasas de crecimiento cada vez más negativas en la cohorte de 0 a 4 años, que se viene reduciendo desde mediados de la década de los noventa principalmente por la disminución de la fecundidad; y en la cohorte de 5 a 14 años, que será menor en términos absolutos en 182 000 menores en los próximos 20 años y en 634 000 menores en los próximos 30 años. En cuanto a la población adolescente y joven (de 15 a 29 años), se mantendrá en casi 8 millones en cada década entre el 2020 y el 2050. Sin embargo, su peso relativo caerá de 24 % en el 2020 al 20 % en el 2050.
La población joven (de 30 a 44 años) y la población adulta (de 45 a 59 años) crecerán en los próximos 30 años. Dentro de 10 años, los jóvenes crecerán en 7,1 % y los adultos en 22,1 %, mientras que en el 2050 habrá 500 000 jóvenes más y 2 millones más de adultos respecto al 2020. Estas cohortes tienen un enorme potencial para impulsar el desarrollo económico del país y contribuir a disminuir los niveles de pobreza; por tanto, es fundamental garantizarles trabajo y otorgarles condiciones apropiadas de trabajo y de vida a fin de que puedan desarrollar su potencial.
La población adulta mayor (de 60 años a más) tendrá un crecimiento significativo entre el 2020 y el 2050. En efecto, para el 2020, esta cohorte sería de 4,1 millones; en el 2030, se acercará a los 6 millones; en el 2040, será de 7,6 millones; y, en el 2050, llegará a los 9,5 millones. En los próximos 30 años el incremento absoluto será de 5,4 millones, más del doble. Además, su peso relativo aumentará del 12,7 % actual al 24,1 % de la población total en el 2050. En otras palabras, en los próximos 30 años habrá un envejecimiento inevitable de la población.
Tabla 3
Estructura poblacional, Perú 2020-2050
|
Indicador |
2020 |
2030 |
2040 |
2050 |
Variación porcentual 2020-2030 |
Variación porcentual 2030-2040 |
Variación porcentual 2040-2050 |
|
Población total |
32 625 948 |
35 792 079 |
38 023 290 |
39 363 351 |
9,70 |
6,23 |
3,52 |
|
0-4 años |
2 788 624 |
2 658 948 |
2 405 199 |
2 238 197 |
–4,65 |
–9,54 |
–6,94 |
|
5-14 años |
5 335 513 |
5 539 383 |
5 153 887 |
4 701 514 |
3,82 |
–6,96 |
–8,78 |
|
15-29 años |
7 869 975 |
7 688 453 |
8 022 512 |
7 841 553 |
–2,31 |
4,34 |
–2,26 |
|
30-44 años |
7 276 339 |
7 789 330 |
7 593 306 |
7 790 546 |
7,05 |
–2,52 |
2,60 |
|
45-59 años |
5 215 059 |
6 369 421 |
7 270 133 |
7 287 678 |
22,14 |
14,14 |
0,24 |
|
60 años a más |
4 140 438 |
5 746 544 |
7 578 253 |
9 503 863 |
38,79 |
31,87 |
25,41 |
Nota. Elaboración propia con datos del Instituto Nacional de Estadística e Informática.
Como se aprecia en la figura 2, el Perú ha pasado de ser un país de población infantil (1960) a uno de población de jóvenes (2020), y estamos entrando inevitablemente a convertirnos en un país con mayor proporción de población adulta mayor (2050). Efectivamente, la estructura etaria se ha vuelto menos triangular, es decir, la parte del centro hacia arriba se ha ensanchado y para el 2050 la estructura etaria se parecerá más a un rectángulo.

Estos cambios demográficos en la población significan un gran desafío para el país, principalmente en las atenciones de salud y las pensiones de jubilación que la población adulta mayor demandará. Por ello, es necesario incrementar y mejorar la atención de salud, el sistema de pensiones y la prevención social, que mejore su condición social y económica. Al respecto, García Núñez (2012) menciona que, dado el envejecimiento relativamente acelerado de la población, es necesario que el Estado permita la cobertura universal en salud de los adultos mayores y la afiliación a un régimen de pensiones.
RAZÓN DE DEPENDENCIA Y BONO DEMOGRÁFICO
La razón de dependencia es la relación que existe entre la población infantil más la población adulta mayor, con respecto a la población joven y la población adulta en edad productiva. Se puede expresar de la siguiente manera:

Donde: Pi representa a la población infantil de 0 a 14 años, Pam es la población adulta mayor de 65 años a más y Pja es la población de 15 a 64 años. De la ecuación anterior, se obtienen las siguientes relaciones:

El bono demográfico sucede cuando la razón de dependencia disminuye, es decir, cuando la población en edad de trabajar (de 15 a 64 años) supera a la población dependiente (niños y adultos mayores). En el Perú, la razón de dependencia llegó a pasar de 90 dependientes por cada 100 personas en edad de trabajar a finales de 1960; luego comenzó a disminuir por la reducción de la fecundidad. Se estima que la razón de dependencia decrecerá hasta alcanzar el punto más bajo en torno al 2025 con un valor de 51 dependientes por cada 100 personas en edad de trabajar (véase la figura 3). Luego nuevamente aumentará. Empero, esta vez será a causa del incremento de la población adulta mayor, debido al envejecimiento.
Figura 3
Razón de dependencia, Perú 1960-2050

Nota. Elaboración propia con datos del Instituto Nacional de Estadística e Informática.
Como se aprecia en la figura 3, en 1960 la razón de dependencia juvenil llegó a registrar valores por encima de 80 menores por cada 100 personas en edad de trabajar, debido a las altas tasas de fecundidad alcanzadas entre 1950 y 1970 (Ferrando & Aramburú, 1992). Posteriormente, empieza a disminuir por la reducción de la fecundidad y las proyecciones muestran que seguirá esta tendencia hasta el 2050. A la inversa, la razón de dependencia de la población adulta mayor comienza a crecer notoriamente a partir del 2000 a causa del envejecimiento.
El cambio en la estructura de edades de la población en el Perú ha generado el bono demográfico (oportunidad demográfica), que se inició en el año 1970 y durará aproximadamente hasta finales del 2020, cuando la razón de dependencia comience a subir nuevamente. En este contexto, la reducción en la razón de dependencia permite que aumente la tasa de ahorro e inversión con efectos positivos en el crecimiento económico. Empero, los efectos positivos del bono demográfico no son automáticos. Para aprovecharlos se debe implementar políticas que incentiven la inversión, políticas de mercado de trabajo, política de educación y salud, políticas que promuevan un ambiente social y económico estable. De no hacerlo, los costos para atender a la inmensa población adulta mayor que se tendrá en el 2050 serán muy grandes.
CONCLUSIONES Y RECOMENDACIONES
La fecundidad en el Perú comenzó a descender de manera sostenida a partir de finales de la década de los sesenta. En estos años, el promedio de hijos por mujer era de 6,9, mientras que ahora está en torno a 2,2 y esta tendencia a la baja seguirá hasta el 2050 con un valor de 1,7. Esta disminución sostenida se debe a factores claves como el mayor acceso de la mujer a la educación, la propagación de métodos modernos de contracepción y mayor participación de la mujer en el mercado de trabajo. Sumado a esto, los avances de la medicina y la tecnología también explican esta disminución. Asimismo, en la actualidad, la decisión de tener un hijo más tiene un peso económico muy grande, principalmente en las familias pobres. Estos factores han causado que se reduzca el número de hijos por mujer. Debido a la disminución de la fecundidad, la población infantil será cada vez menos. Los niños de 0 a 4 años se reducirán en más de 500 000 y los niños de 5 a 14 se reducirán en más de 600 000 entre el 2020 y el 2050.
En los próximos 30 años, habrá un envejecimiento de la población. En efecto, la población mayor de 60 años tendrá un incremento absoluto de 5,3 millones entre el 2020 y el 2050, y en términos relativos aumentará del 12,7 % al 24,1 %. La población que envejece necesita tiempo y calidad de cuidado especial, más gastos en salud y una previsión social que le garantice las mejores condiciones sociales, económicas y humanas. Estas necesidades deben ser asumidas por el Estado. Considerando que actualmente esta cohorte tiene casi 4 millones de personas que en su mayoría no se encuentran adecuadamente protegidas, sobre todo en el sistema de salud y pensiones, su situación podría empeorar a futuro cuando sean más de 9 millones, siendo una carga fiscal muy grande para el Estado.
En el Perú, la razón de dependencia llegó a pasar de los 90 dependientes por cada 100 personas en edad de trabajar a finales de los sesenta. Luego comenzó a disminuir por la reducción de la fecundidad en la década de los setenta, pero en adelante comenzará a aumentar por el incremento de la población adulta mayor debido al envejecimiento.
Lo precedente me lleva a plantear las siguientes recomendaciones:
• Dado que se tiene una disminución sostenida de la tasa de fecundidad, y que las proyecciones muestran que esta tendencia de reducción seguirá hasta el 2050, se debe establecer una medida para que esta esta disminución no llegue a valores mínimos e incluso negativos.
• En cuanto al envejecimiento de la población, es muy probable que los adultos mayores se enfrenten a un mayor riesgo de pobreza; por ello, es necesario implementar programas para su seguridad. Dado que la población que envejece necesita tiempo y cuidado especial, es necesario garantizar la atención de salud de los adultos mayores; asimismo, mejorar el sistema de prevención social y el sistema de pensiones dirigido a esta población.
Definitivamente se necesita de más investigación sobre el tema demográfico en el Perú, por ejemplo, investigar sobre la disyuntiva entre la disminución de la tasa de fecundidad y la disminución de la población, ¿es bueno que la población disminuya?, ¿qué debemos hacer para garantizar una vida digna a los adultos mayores?
Créditos de autoría
Milagros R. Quispe: conceptualización, análisis de datos, redacción: preparación del primer borrador, redacción: revisión y edición.
Adsera, A. (2004). Changing fertility rates in developed countries. The impact of labor market institutions. Journal of Population Economics, 17(1), 17-43.
Adsera, A., & Menéndez, A. (2011). Fertility changes in Latin America in periods of economic uncertainty. Population Studies, 65(1), 37-56.
Arce Mesa, A. F., Rodríguez, D. L., & Garavito, S. F. (2012). Determinantes de la fecundidad en el Departamento de Antioquia. Criterio Libre, 10(17), 25-52.
Bloom, D. E., Canning, D., Mansfield, R. K., & Moore, M. (2007). Demographic change, social security systems, and savings. Journal of Monetary Economics, 54(1), 92-114.
Bloom, D. E., Canning, D., & Sevilla, J. (2003). The demographic dividend. A new perspective on the economic consequences of population change. RAND.
Bloom, D. E., & Williamson, J. G. (1997). Demographic transitions and economic miracles in emerging Asia [Working Paper n.° 6268]. National Bureau of Economic Research.
Blue, L., & Espenshade, T. J. (2011). Population momentum across the demographic transition. Population and Development Review, 37(4), 721-747.
Bohk-Ewald, C., Li, P., & Myrskylä, M. (2018). Forecast accuracy hardly improves with method complexity when completing cohort fertility. Proceedings of the National Academy of Sciences of the United States of America, 115(37), 9187-9192.
Carvalho, C., Ferrero, A., & Nechio, F. (2016). Demographics and real interest rates: inspecting the mechanism. European Economic Review, 88(C), 208-226.
Cavallo, E., Sánchez, G., & Valenzuela, P. (2018). Gone with the wind: demographic transitions and domestic saving. Review of Development Economics, 22(4), 1744-1764.
Coutinho, R. Z., & Golgher, A. B. (2018). Modelling the proximate determinants of fertility for Brazil: the advent of competing preferences. Revista Brasileira de Estudos de População, 35(1), 1-28.
Ferrando, D., & Aramburú, C. E. (1992). La transición de la fecundidad en Perú. Notas de Población, 55, 173-202.
García Núñez, L. (2012). Desprotección en la tercera edad: ¿estamos preparados para enfrentar el envejecimiento de la población? [Documento de trabajo n.° 2012-330]. Pontificia Universidad Católica del Perú, Departamento de Economía.
Guerra García, R. (1991). Las políticas sobre población en el Perú. Thēmis: Revista de Derecho, 19, 73-77.
Guinnane, T. W. (2011). The historical fertility transition: a guide for economists. Journal of Economic Literature, 49(3), 589-614.
Hanmer, L., Lensink, R., & White, H. (2003). Infant and child mortality in developing countries: analyzing the data for robust determinants. Journal of Development Studies, 40(1), 101-118.
Heuveline, P., & Hirschman, C. (2015). Fertility transition: Southeast Asia. En J. D. Wright (Ed.), International Encyclopedia of the Social and Behavioral Sciences (pp. 84-91). Elsevier.
Instituto Nacional de Estadística e Informática. (2018). Indicadores de empleo e ingreso por departamento, Perú: 2007-2017.
Instituto Nacional de Estadística e Informática. (2019). Perú: estimaciones y proyecciones de la población nacional, 1950-2070. Boletín de Análisis Demográfico, 38. https://www.inei.gob.pe/media/MenuRecursivo/publicaciones_digitales/Est/Lib1665/index.html
Juárez, F., & Gayet, C. (2015). Fertility transition: Latin America and the Caribbean. En J. D. Wright (Ed.), International Encyclopedia of the Social and Behavioral Sciences (pp. 68-72). Elsevier.
Lee, J. H., Lim, E. S., & Hwang, J. (2012). Panel SVAR model of women’s employment, fertility, and economic growth: a comparative study of East Asian and EU countries. The Social Science Journal, 49(3), 386-389.
Lee, R. (2003). The demographic transition: three centuries of fundamental change. Journal of Economic Perspectives, 17(4), 167-190.
Lee, R., Lee, S.-H., & Mason, A. (2007). Charting the economic lifecycle. Population and Development, 33(27), 208-237.
Martínez, C. (2013). Descenso de la fecundidad, bono demográfico y crecimiento económico en Colombia, 1990-2010. Serie de Estudios a Profundidad. https://www.minsalud.gov.co/sites/rid/Lists/BibliotecaDigital/RIDE/INEC/INV/1%20-%20DESCENSO%20DE%20LA%20FECUNDIDAD%20-%20BONO%20DEMOGRAFICO%20Y%20CRECIMIENTO%20ECONOMICO%20EN%20COLOMBIA%201990-2010.pdf
Medina Hernández, E. J. (2012). Diferenciales regionales de la fecundidad según el nivel educativo de las mujeres colombianas en edad fértil. Sociedad y Economía, 23, 205-234.
Murthi, M. (2002). Fertility change in Asia and Africa. World Development, 30(10), 1769-1778.
O’Hare, B., Makuta, I., Chiwaula, L., & Bar-Zeev, N. (2013). Income and child mortality in developing countries: a systematic review and meta-analysis. Journal of the Royal Society of Medicine, 106(10), 408-414.
Pinto Aguirre, G. (2011). El bono demográfico: una oportunidad de crecimiento económico. Umbrales. Revista del Postgrado Multidisciplinario en Ciencias del Desarrollo, 22, 107-117.
Pinto Aguirre, G. (2016). El bono demográfico en América Latina: el efecto económico de los cambios en la estructura por edad de una población. Población y Salud en Mesoamérica, 13(2), 191-210.
Puig-Barrachina, V., Rodríguez-Sanz, M., Domínguez-Berjón, M. F., Martín, U., Luque, M. Á., Ruiz, M., & Pérez, G. (2020). Decline in fertility induced by economic recession in Spain. Gaceta Sanitaria, 34(3), 238-244.
Rizk, R. (2019). Does demographic transition matter for economic growth? Evidence from Egypt. Journal of North African Studies, 24(6), 1012-1035.
Sánchez-Páez, D. A., & Ortega, J. A. (2018). Adolescent contraceptive use and its effects on fertility. Demographic Research, 38(45), 1359-1388.
Stefanelli, M., Valenzuela, M. T., Cárcamo, M., Urquidi, C., Cavada, G., & San Martín, P. (2016). Tendencia de la tasa global de fecundidad y el aumento de la fuerza laboral femenina en Chile. 1960-2011. Revista Médica de Chile, 144(5), 658-663.
Wongboonsin, K., Guest, P., & Prachuabmoh, V. (2005). Demographic change and the demographic dividend in Thailand. Asian Population Studies, 1(2), 245-256.