Proyección climática para el periodo 2006-2075
para el valle de Jauja, simulada por la intercomparación de modelos acoplados CSIRO Mk 3.0, MIROC-ESM y CNRM
de fase 5 (CMIP5)*
Yvan García López
https://orcid.org/0000-0001-9577-4188
Héctor Bedón Monzón
https://orcid.org/0000-0001-7231-4795
Universidad de Lima, Facultad de Ingeniería y Arquitectura, Lima, Perú
Moisés Durán Gómez
https://orcid.org/0000-0001-5077-7350
Grupo de Investigación en Tecnologías Exponenciales (GITX ULIMA), Instituto de Investigación Científica (IDIC), Lima, Perú
Recibido: 1 de junio del 2021 / Aprobado: 9 de julio del 2021
doi: https://doi.org/10.26439/ing.ind2022.n.5813
RESUMEN. Se evaluaron los datos climáticos para el valle de Jauja, región Junín, sierra central del Perú para el siglo xxi, como lo simulan los modelos climáticos utilizados en la fase 5 por la intercomparación de modelos acoplados (CMP5). Los modelos utilizados fueron tres: CSIRO Mk 3.6, MIROC-ESM y CNRM-CM5, respectivamente, a una resolución espacial de 1,875 × 1,86°, 2,81 × 1,87° y 1,41 × 1,40°, construidos con data meteorológica observada en el valle de Jauja durante el periodo 1975-2005, empleando el escenario RCP2.6 y 8.5 del IPCC. El objetivo del presente trabajo es proporcionar proyecciones climáticas locales para esta área, generando una primera base de datos climáticos futura de la región, como herramienta de toma de decisiones por parte de agricultores y otros usuarios de la cuenca. Las proyecciones climáticas muestran un calentamiento significativo desde 2,0 grados de temperatura para el escenario RCP2.6 hasta 3,5 grados de temperatura para el escenario RCP8.5, esperado en toda el área evaluada del valle de Jauja para los próximos cincuenta años, junto con una disminución de la precipitación. Las proyecciones de precipitación dependen de la resolución horizontal, lo que sugiere la necesidad de simulaciones adicionales con una resolución más alta, especialmente para una representación adecuada de eventos climáticos extremos.
PALABRAS CLAVE: modelos climáticos / temperatura / precipitación
* Este trabajo fue apoyado conjuntamente por la Universidad Nacional Agraria La Molina; el Programa Nacional de Investigación Agraria (PNIA), bajo 006-2016-INIA-PNIA-IE; la comunidad de San Lorenzo, Jauja, región Junín; y el Grupo de Investigación en Tecnologías Exponenciales (GITX ULIMA) del Instituto de Investigación Científica (IDIC) de la Universidad de Lima. Correos electrónicos en orden de aparición: [email protected], [email protected], [email protected]
Climate projection for the period 2006-2075 for the Jauja valley, simulated by the intercomparison of coupled models CSIRO Mk 3.0, MIROC-ESM and CNRM phase 5 (CMIP5)
ABSTRACT. The climatic data for the Jauja valley, Junín region, central highlands of Peru for the xxi century were evaluated, as simulated by the climatic models used in phase 5 by the Intercomparison of coupled models (CMP5). The models used were three (03): CSIRO Mk 3.6, MIROC ESM and CNRM CM5, respectively, at a spatial resolution of 1,875 × 1.86°, 2,81 × 1.87° and 1,41 × 1,40°, built by observed meteorological data in the Jauja valley during the 1975-2005 period, using the IPCC RCP2.6 and 8.5 scenario. The present work is to provide local climate projections for this area, generating a first future climate database for the region, as a decision-making tool for farmers and other users of the basin. The climatic projections show a significant warming from 2,0 degrees of temperature for the RCP2.6 scenario to 3,5 degrees of temperature for the RCP8.5 scenario expected in the entire evaluated area of the Jauja valley for the next fifty years, together with a decrease in precipitation. Precipitation projections are dependent on horizontal resolution, suggesting the need for additional simulations at higher resolution, especially for adequate representation of extreme weather events.
KEYWORDS: climate models / temperature / precipitation
INTRODUCCIÓN
Cambio climático mundial
El clima del planeta se ha mantenido en equilibrio debido a su resiliencia, pero en la actualidad estamos experimentando cambios climáticos por el incremento de la concentración de dióxido de carbono (CO2) y otros gases de efecto invernadero, generados por las actividades antropogénicas y el consumo de combustibles fósiles, estimulado por el crecimiento económico y demográfico. En consecuencia, de las temperaturas que se han registrado los últimos 171 años en la superficie de la Tierra, las que corresponden al periodo 1995-2006 fueron las más cálidas. Entre 1906 y el 2005, la temperatura del planeta tuvo una variabilidad climática de incremento en 0,74 °C. En el 2018, el Panel Intergubernamental de Cambio Climático (IPCC, por sus siglas en inglés) publicó un informe sobre los impactos del calentamiento global de 1,5 °C en el mejor escenario y de hasta 2,0 °C en el peor escenario para los próximos cincuenta años. Los informes del IPCC muestran estudios regionales de modelos climáticos en todo el mundo y las rutas más dramáticas de concentración de CO2 y otros gases de efecto invernadero. Los cambios en el clima, cuando ocurren como eventos extremos, representan amenazas importantes para los ecosistemas, economías y sociedades, sobre todo para las que dependen del uso de los recursos hídricos para la agricultura, la ganadería y la producción de energía (Mello et al., 2015; Thomas et al., 2011).
El cambio climático antropogénico se manifiesta en la temperatura y la precipitación, y es probable que sea un grave riesgo para la sociedad humana, la economía y los ecosistemas, pues provocaría pérdida de la agricultura, escasez de agua e impactos negativos generalizados en la salud, así como el aumento de la mortalidad inducida por el calor extremo (Chaudhary et al., 2012; Jain et al., 2012; Kumar et al., 2006; Kumar & Ladha, 2011; Ravindranath et al., 2011; Sharmila et al., 2015). Se espera que los efectos del cambio climático sean mayores en los países en desarrollo, pues dependen de la producción primaria como una fuente importante de ingresos (Kumar et al., 2006).
Sistema climático
El sistema climático, según el National Centre for Atmospheric Research (NCAR), se encuentra conformado por océano-tierra-atmósfera, debido a que integra procesos fisicoquímicos en nuestra atmósfera e interactúa con el océano, continentes, hielo, nieve. Incluye los flujos de los procesos de radiación, convección, entre otros. Se representa con modelos acoplados (véase la figura 1).
Figura 1
Sistema climático con flujos de proceso océano-tierra-atmósfera

Nota. Replicado del CIIFEN (2021).
Los modelos climáticos se clasifican en los siguientes tipos: modelos de circulación global (MCG o GCM, por sus siglas en inglés), que rodea a todo el planeta; y modelos de circulación regional (MCR o RCM, por sus siglas en inglés), que se limitan a una región climática. La información proporcionada por los modelos GCM tiene resolución de alrededor de 100 y 200 km de cuadrícula, la cual es usada para el soporte en la toma de decisiones a escala internacional (por ejemplo, en las reuniones e informes periódicos del IPCC), pero no se considera para tomar decisiones para un determinado país y menos para una ciudad. Estos son llamados escenarios climáticos locales y tienen una incertidumbre considerable.
Los especialistas en el clima han logrado desarrollar modelos de simulación climática a nivel de cuadrículas más pequeñas (local). Los escenarios climáticos tienen un gran margen de incertidumbre, pero son robustos para ser usados en planificación y formulación de políticas para las tareas humanas que puedan proyectarse a más de una década en el futuro, como el manejo forestal, la planificación hídrica, el desarrollo urbano, la agricultura, el turismo, entre otras (Brunet et al., 2006).
En la elaboración de proyecciones del clima en modelos de circulación global (GCM), se ha puesto a disposición para la fase 5 del proyecto la comparación de modelos acoplados (CMIP5). Estos modelos del sistema terrestre (MST o ESM, por sus siglas en inglés) comprenden la interacción de la atmósfera, la tierra y la vegetación, además de tomar en cuenta el ciclo del carbono y la química de la atmósfera (Taylor et al., 2012), a diferencia de los modelos anteriores de fase 3. Esta nueva generación de modelos está impulsada por el forzamiento de la composición del aire —definida recientemente como “forzamiento histórico”— en las actuales condiciones de clima y por la ruta de concentración representativa (RCP) para escenarios futuros (Moss et al., 2010).
Por lo tanto, estudiaremos cuatro RCP: RCP2.6, RCP4.5, RCP6.0 y RCP8.5 (de forzamiento radiativo que va de menor a mayor hasta el año 2100). El grupo de datos resultantes de las simulaciones ayudará a iniciar estudios futuros de cambio climático y en la línea de base del Quinto Informe de Evaluación del Panel Intergubernamental sobre Cambio Climático, titulado Assessment Report 5 (IPCC, 2014).
DATOS Y ÁREA DE ESTUDIO
Datos de modelos climáticos
El estudio presenta el análisis de variables climáticas de temperaturas máximas y mínimas, así como de precipitación, para el periodo 2006-2075 en el valle de Jauja a partir de la calibración de la información histórica de los modelos MIROC-ESM, CSIRO Mk 3.6 y CNRM-CM5, de forma conjunta con la información histórica observada disponible del SENAMHI, estación Jauja, Junín, del periodo 1970-2005.
Tabla 1
Modelos utilizados CMIP5
|
Modelos |
Centro de modelamiento |
Resolución espacial (Lon × Lat, grados) |
Ensamble |
|
MIROC-ESM |
Atmosphere and Ocean Research Institute (The University of Tokyo), National Institute for Environmental Studies and Japan Agency for Marine Earth Science and Technology |
2,81 × 1,77 |
r1i1p1 |
|
CSIRO Mk 3.6 |
Commonwealth Scientific and Industrial Research Organization (CSIRO), Australia |
1,875 × 1,86 |
r1i1p1 |
|
CNRM-CM5 |
Centre National de Recherches Meteorologiques, Meteo-France, France |
1,41 × 1,40 |
r1i1p1 |
Nota. Elaborado con información de IPCC (2018).
La tabla 1 muestra los modelos utilizados, con sus respectivas resoluciones espaciales y argumento de ensamble. Las variables de estudio y sus proyecciones fueron procesadas por el método de downscaling empleando el software MeteoLab; también se evaluaron mediante la prueba estadística t-Student pareada y la prueba de Mann-Kendall.
Área de estudio
El Perú tiene una superficie de 1 285 215 km2 y comprende tres regiones geográficas: la costa con el 11 % del territorio, la sierra con el 29 % y la selva con el 60 %. Políticamente está divido en 24 regiones. La provincia de Jauja se encuentra en el departamento de Junín, con coordenadas 11°46’30’’ S, 75°30’0’’ W (véase la figura 2).
Figura 2
Ubicación de Jauja en el mapa geográfico y político del Perú
Mapa del Perú Departamento de Junín, provincia de Jauja

El valle de Jauja, ubicado en la cuenca del río Mantaro, se encuentra en el centro del Perú, con un rango de 10º34’30’’ S a 13º35’30’’ S y 73º55’00’’ W a 76º40’30’’ W, cubriendo un área de aproximadamente 34 km2. Es una de las más amplias zonas productivas de la serranía peruana, alberga numerosos poblados y se caracteriza por un clima templado, moderadamente lluvioso y con amplitud térmica moderada (Instituto Geofísico del Perú [IGP], s. f.). Sin embargo, diferentes estudios regionales han demostrado que la productividad agrícola debería disminuir aproximadamente en un 10 a 20 % en este siglo debido a los impactos del cambio climático (Ministerio del Ambiente, 2010). Asimismo, el Cuarto Censo Nacional Agrario del Perú, realizado el 2012, mostró que el 51 % del territorio agrícola es regado exclusivamente por agua de lluvia y el 81 % de la producción de los ocho cultivos alimentarios principales es críticamente vulnerable a la sequía. Es preciso mencionar que la agricultura depende en gran medida de la disponibilidad de agua en las cuencas, donde las descargas son suministradas principalmente por los glaciares de montaña; sin embargo, en los últimos 35 años su disponibilidad ha disminuido en aproximadamente un 22 %, un volumen equivalente al consumo de agua en la ciudad de Lima durante 10 años (Autoridad Nacional del Agua, 2010). Estos escenarios suponen un riesgo, ya que la agricultura es un sector estratégico para el desarrollo del país, que concentra el 31 % de la PEA (población económicamente activa) nacional, el 65 % de la PEA rural (Instituto Nacional de Estadística e Informática [INEI], 2019) y el 54,6 % de la fuerza laboral.
Actualmente, los pobladores de Jauja diversifican sus fuentes de ingresos entre la agricultura y el ganado, actividades de subsistencia para ellos. Según el IGP (2005), la mayor cantidad de tierras agrícolas se encuentran en la cuenca central y sur del río Mantaro, que abarca el 82 % del total de tierras agrícolas en la cuenca.
METODOLOGÍA
Métodos de corrección de sesgo
En este estudio, se utilizaron dos métodos para la corrección de sesgo: delta y escalamiento lineal para la precipitación y las temperaturas. Estos métodos de corrección de sesgo se realizaron diariamente desde 1975 al 2005.
Escalamiento lineal de precipitación y temperatura
El método de escalamiento lineal o linear scaling (LS) tiene como objetivo hacer coincidir perfectamente la media mensual de los valores corregidos con la de los observados (Lenderink et al., 2007). Funciona con valores de corrección mensuales basados en las diferencias entre los datos observados y los datos sin procesar (datos sin formato de los modelos climáticos globales [MCG], en este caso). La precipitación generalmente se corrige con un multiplicador y la temperatura con un término aditivo sobre una base mensual:

Donde: Pcor, m, d y Tcor, m, d son la precipitación y la temperatura corregidas el día d del mes m, y Praw, m, d y Traw, m, d son la precipitación bruta y la temperatura el día d del mes m. µ(.) representa el operador de expectativa (por ejemplo, µPobs, m representa el valor medio de la precipitación observada en el mes m dado).
Serie de tiempo de cambio de delta de precipitación y temperatura
El enfoque de cambio de delta se basa en la transferencia de la señal de cambio mensual promedio entre el control de MCG y el periodo de escenario de MCG a una serie de tiempo observada:

Donde:
y
corresponden a la observación de temperatura y precipitación diarias,
y
son temperatura mensual promedio de MCG y precipitación del periodo de control, y
y
son temperatura mensual promedio de MCG y precipitación del periodo de escenario.
Debe destacarse que las señales de cambio entre la línea base de MCG y el periodo del escenario se derivaron de los valores medios mensuales. Elegimos este enfoque particular para evitar una variabilidad considerable en las señales de cambio diarias que se habrían producido al utilizar factores de cambio diarios.
Modelos climáticos globales (CMIP5)
Proyección del cambio climático futuro (RCP2.6 y RCP8.5)
En el presente estudio, para la emisión de gases de efecto invernadero (GEI), usaremos cuatro escenarios de emisión o representative concentration pathway (RCP) para la evaluación del cambio climático futuro en el valle de Jauja. Un RCP es una ruta representativa de niveles de CO2 y cada uno característico de forzamiento radiativo. El forzamiento se debe a agentes radiativos y GEI, sin incluir los efectos directos del albedo. El término ruta señala que no solo los niveles de CO2 son de interés en el largo plazo, sino también la trayectoria tomada en el tiempo para llegar a ese resultado (Moss et al., 2010).
Se trabaja en un clima con estado estable, y es necesario un balance de energía entre los flujos de entrada y salida de la tierra. De acuerdo con el balance de energía global, existe un exceso de 1 W/m2 aproximadamente (Wild et al. 2013), el cual permite mantener temperaturas que hacen posible la vida sobre la Tierra. Sin embargo, si se tuviera un exceso mayor, el efecto en el clima sería de mayor calentamiento. El forzamiento radiativo de 4,5 W/m2 del clima sería el exceso del balance de energía cuando este llegue a su equilibrio en el año 2100 (Taylor et al., 2012).
El escenario RCP2.6 es una ruta donde el forzamiento radiativo se estabiliza aproximadamente en 3 W/m2 antes del año 2100 y luego disminuye. La ruta del RCP4.5 es seleccionada como una ruta central, aunque la elección de esta ruta para los diferentes modelos no difiere mucho con respecto a sus resultados antes del año 2030 (Taylor et al., 2012). Los aspectos socioeconómicos que subyacen a cada ruta RCP no son únicos; por ejemplo, los procesos consultivos locales (RCP2.6 y RCP4.5) con menor forzamiento radiativo no se derivan de los de mayor forzamiento radiativo (RCP6.0 o incluso RCP8.5). Las diferencias entre los RCP no pueden, por tanto, interpretarse directamente como resultado de la política climática o particulares desarrollos socioeconómicos. Cualquier diferencia se puede atribuir, en parte, a las disimilitudes entre los modelos y las hipótesis de escenarios (científico, económico y tecnológico).
DISCUSIÓN DE RESULTADOS
El comportamiento de los valores históricos de los tres modelos evaluados sobreestima los valores reales de promedios mensuales observados de precipitación en el periodo 1975-2005, como se observa en la figura 3. Presentan distribuciones mensuales similares durante el año promedio, con valores de correlación de Pearson positivos mayores que 0,7, muy similares entre sí, que alcanzaron el mayor valor de correlación, 0,794, para el modelo de MIROC-ESM.
Figura 3
Precipitación acumulada promedio mensual observada e histórica de los modelos CSIRO Mk 3.0, MIROC-ESM y CNRM-CM5 para el periodo del 1975-2005

En la tabla 2, se registran las pruebas estadísticas para cada uno de los modelos empleados de MIROC-ESM, CNRM-CM5 y CSIRO Mk 3.6 acerca de los valores de precipitación observada e histórica de los modelos climáticos globales en el periodo 1975-2005.
Tabla 2
Prueba t de Student pareada para los valores de precipitación observada e histórica
de los modelos climáticos globales en el periodo 1975-2005
|
Modelo |
R de Pearson |
Estadístico t |
P(T<=t) una cola |
Valor crítico de t (una cola) |
P(T<=t) dos colas |
Valor crítico de t (dos colas) |
|
CSIRO Mk 3.6.0 |
0,730 |
22,592 |
5,259 × 10–72 |
1,649 |
1,052 × 10–71 |
1,966 |
|
MIROC-ESM |
0,794 |
24,171 |
1,696 × 10–78 |
1,649 |
3,392 × 10–78 |
1,966 |
|
CNRM-CM5 |
0,742 |
36,759 |
4,923 × 10–126 |
1,649 |
9,847 × 10–126 |
1,966 |
En el caso de la temperatura máxima, en la figura 4, los valores históricos de los modelos CSIRO Mk 3.6.0 y MIROC-ESM sobreestiman los valores reales de promedios mensuales observados en el periodo 1975-2005, mientras que el modelo CNRM-CM5 los subestima. Se presentan distribuciones mensuales muy diferenciadas durante el año promedio: en el modelo MIROC-ESM, se obtuvo el menor valor de correlación de Pearson, 0,076, debido al aumento de temperatura en los meses que corresponden a la estación de invierno. Asimismo, el modelo CNRM-CM5 también obtuvo un bajo valor de correlación de Pearson, 0,150, pudiéndose apreciar que presenta un comportamiento desigual al observado en la mayoría de los meses de la segunda mitad del año. El modelo CSIRO Mk 3.6.0 obtuvo un valor de correlación moderado de 0,496, sobreestimando los valores al observar y presentar un mayor gradiente de disminución de temperatura en los meses de invierno, en comparación con los valores observados.
Figura 4
Temperatura máxima promedio mensual observada e histórica de los modelos CSIRO MK 3.0, MIROC-ESM y CNRM-CM5 en el periodo 1975-2005

En la tabla 3, se registran las pruebas estadísticas para cada uno de los modelos empleados de MIROC-ESM, CNRM-CM5 y CSIRO Mk 3.6 acerca de los valores de temperatura máxima observada e histórica de los modelos climáticos globales en el periodo 1975-2005.
Tabla 3
Prueba t de Student pareada para los valores de temperatura máxima observada e histórica
de los modelos climáticos globales en el periodo 1975-2005
|
Modelo |
R de Pearson |
Estadístico t |
P(T<=t) una cola |
Valor crítico de t (una cola) |
P(T<=t) dos colas |
Valor crítico de t (dos colas) |
|
CSIRO Mk 3.6 |
0,496 |
15,004 |
2,080 × 10–40 |
1,649 |
4,160 × 10–40 |
1,966 |
|
MIROC-ESM |
0,076 |
58,611 |
5,946 × 10–190 |
1,649 |
1,189 × 10–189 |
1,966 |
|
CNRM-CM5 |
0,150 |
35,249 |
8,936 × 10–121 |
1,649 |
1,787 × 10–120 |
1,966 |
Respecto a las temperaturas mínimas, en la figura 5, los valores históricos de los modelos MIROC-ESM y CNRM-CM5 presentan correlaciones de Pearson de 0,760 y 0,821, respectivamente, con variaciones mensuales similares al comportamiento anual de los valores observados en el periodo evaluado. El modelo CNRM-CM5 es el más próximo a los valores observados, mientras que en el modelo MIROC-ESM se presentan datos sobreestimados. Sin embargo, el modelo CSIRO Mk 3.0 obtuvo un bajo valor de correlación, 0,193, al considerar el aumento de temperatura en época de invierno; asimismo, sobreestima valores en todos los meses.
Figura 5
Temperatura mínima promedio mensual observada e histórica de los modelos CSIRO MK 3.0, MIROC-ESM y CNRM-CM5 en el periodo 1975-2005

Tabla 4
Prueba t de Student pareada para los valores de temperatura mínima observada e histórica de los modelos climáticos globales en el periodo 1975-2005
|
Modelo |
R de Pearson |
Estadístico t |
P(T<=t) una cola |
Valor crítico de t (una cola) |
P(T<=t) dos colas |
Valor crítico de t (dos colas) |
|
CSIRO Mk 3.0 |
0,193 |
24,979 |
8,743 × 10–82 |
1,649 |
1,749 × 10–81 |
1,966 |
|
MIROC-ESM |
0,760 |
147,620 |
0 |
1,649 |
0 |
1,966 |
|
CNRM-CM5 |
0,821 |
18,079 |
3,801 × 10–53 |
1,649 |
7,603 × 10–53 |
1,966 |
Precipitación en el periodo 1975-2075
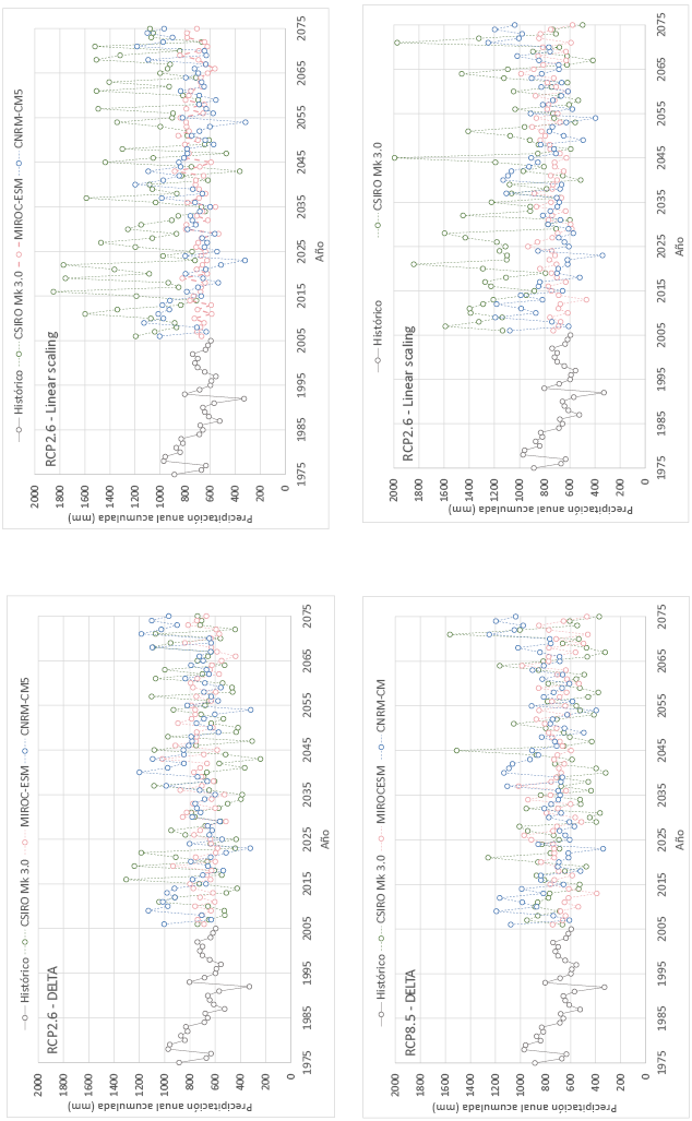
En la figura 6, las proyecciones de precipitación del modelo CSIRO Mk 3.0 sugieren un incremento de las lluvias en los meses siguientes para los periodos futuros. La distribución por el método de corrección LS es la que sugiere incrementos significativos, particularmente para el periodo 2006-2030. Asimismo, ambos escenarios apuntan a similares incrementos de lluvias en los primeros meses del año y los meses de otoño, más una reducción en las precipitaciones en los últimos meses del año para el mismo periodo 2006-2030. En los modelos MIROC-ESM y CNRM-CM5 (véanse las figuras 7 y 8, respectivamente), las proyecciones adoptan distribuciones mensuales de lluvia acumulada similares a los datos observados para ambos escenarios y métodos de corrección. La precipitación acumulada proyectada para los modelos climáticos globales MIROC-ESM, CNRM-CM5 y CSIRO Mk 3.0 del periodo 1975-2075 con corrección delta y LS se muestra en la figura 9 (a-b-c-d). Estos modelos sugieren variaciones no significantes, con la excepción del escenario RCP8.5 del modelo CSIRO Mk 3.0, el cual posee una tendencia negativa en un 95 % de datos analizados, según la prueba no paramétrica de la pendiente de Sen-Mann-Kendall, con una reducción proyectada de 0,678 %.
Figura 6
Precipitación acumulada mensual proyectada por periodos con el modelo CSIRO Mk 3.0 y dos métodos de corrección

Figura 7
Precipitación acumulada mensual proyectada por periodos con el modelo MIROC-ESM y dos métodos de corrección

Figura 8
Precipitación acumulada mensual proyectada por periodos con el modelo CNRM-CM5 y dos métodos de corrección

Figura 9
Precipitación acumulada anual proyectada para los modelos climáticos globales del periodo 1975-2075, con corrección delta (panel izquierdo) y linear scaling (panel derecho)

Tabla 5
Prueba no paramétrica (pendiente Sen-Mann-Kendall) para los valores de precipitación obtenidos mediante la corrección delta para el periodo 2006-2075
|
Modelo |
S |
Z |
Sen’s Slope |
Significancia |
Tendencia |
|
CSIRO RCP2.6 |
65 |
0,32 |
0,035 |
No significante |
Sin tendencia al 95 % |
|
MIROC RCP2.6 |
–73 |
–0,37 |
–0,015 |
No significante |
Sin tendencia al 95 % |
|
CNRM RCP2.6 |
74 |
0,38 |
0,017 |
Significante |
Sin tendencia al 95 % |
|
CSIRO RCP8.5 |
–346 |
–1,79 |
–0,218 |
Significante |
Sin tendencia al 95 % |
|
MIROC RCP8.5 |
–73 |
–0,37 |
–0,015 |
No significante |
Sin tendencia al 95 % |
|
CNRM RCP8.5 |
262 |
1,35 |
0,110 |
Significante |
Sin tendencia al 95 % |
En la tabla 5, se registran las pruebas no paramétricas para cada uno de los modelos empleados de CSIRO RCP2.6, MIROC RCP2.6, CNRM RCP2.6, CSIRO RCP8.5, MIROC RCP8.5, CNRM RCP8.5, para los valores de precipitación obtenidos mediante la corrección delta para el periodo 2006-2075.
Tabla 6
Prueba no paramétrica (pendiente Sen-Mann-Kendall) para los valores de precipitación obtenidos mediante la corrección LS para el periodo 2006-2075
|
Modelo |
S |
Z |
Sen’s Slope |
Significancia |
Tendencia |
|
CSIRO RCP2.6 |
–161 |
–0,81 |
–0,139 |
No significante |
Sin tendencia al 95 % |
|
MIROC RCP2.6 |
286 |
1,45 |
0,056 |
No significante |
Sin tendencia al 95 % |
|
CNRM RCP2.6 |
66 |
0,34 |
0,008 |
Significante |
Sin tendencia al 95 % |
|
CSIRO RCP8.5 |
–584 |
–3,02 |
–0,678 |
Significante |
Tendencia negativa al 95 % |
|
MIROC RCP8.5 |
286 |
1,45 |
0,056 |
No significante |
Sin tendencia al 95 % |
|
CNRM RCP8.5 |
250 |
1,29 |
0,11 |
Significante |
Sin tendencia al 95 % |
En la tabla 6, se registran las pruebas no paramétricas para cada uno de los modelos empleados de CSIRO RCP2.6, MIROC RCP2.6, CNRM RCP2.6, CSIRO RCP8.5, MIROC RCP8.5, CNRM RCP8.5, para los valores de precipitación obtenidos mediante la corrección linear scaling para el periodo 2006-2075.
Temperatura máxima en el periodo 1975-2075
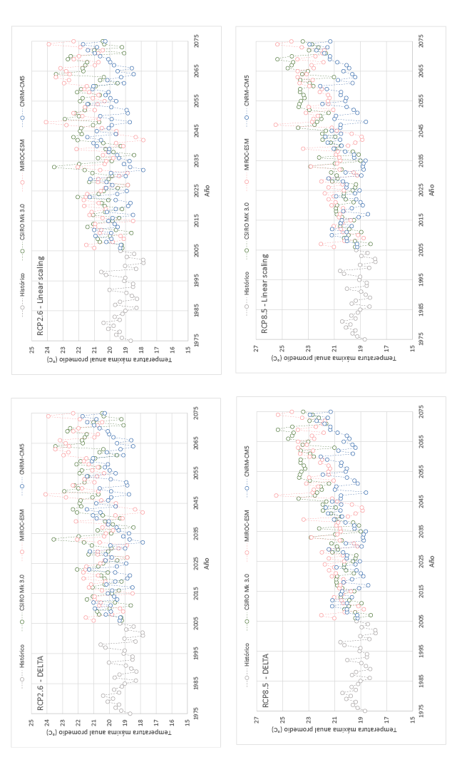
La temperatura máxima mensual proyectada por periodos para los modelos CSIRO Mk 3.0, MIROC-ESM y CNRM-CM5, así como los dos métodos estadísticos de corrección, se presentan en las figuras 10, 11 y 12, respectivamente. La figura 13 (a-b-c-d) muestra la temperatura máxima anual proyectada para los modelos climáticos globales CSIRO Mk 3.0, MIROC-ESM y CNRM-CM5, del periodo de 1975-2075, con corrección delta y LS. En el caso de las proyecciones de temperaturas máximas, todos los modelos, escenarios y métodos de corrección sugieren incrementos significantes de la temperatura máxima promedio de hasta 4 °C, siendo los escenarios RCP8.5 los más críticos. El modelo CSIRO Mk 3.0 sugiere en el escenario RCP2.6 una estabilización en el aumento de temperaturas a partir del año 2055, y la distribución de temperaturas mensuales es similar en los periodos 2031-2055 y 2056-2075. El modelo CNRM-CM5 presenta el menor incremento de temperaturas, menos de 2 °C en promedio.
Figura 10
Temperatura máxima mensual proyectada por periodos con el modelo CSIRO Mk 3.0 y dos métodos estadísticos de corrección

Figura 11
Temperatura máxima mensual proyectada por periodos con el modelo MIROC-ESM y dos métodos estadísticos de corrección

Figura 12
Temperatura máxima mensual proyectada por periodos con el modelo CNRM-CM5 y dos métodos estadísticos de corrección

Figura 13
Temperatura máxima anual proyectada para los modelos climáticos globales para el periodo 1975-2075, con corrección delta (panel izquierdo) y LS (panel derecho)

Tabla 7
Prueba no paramétrica (pendiente Sen-Mann-Kendall) para los valores de temperatura máxima obtenidos mediante la corrección delta para el periodo 2006-2075
|
Modelo |
S |
Z |
Sen’s Slope |
Significancia |
Tendencia |
|
CSIRO RCP2.6 |
375 |
1,94 |
0,023 |
Significante |
Sin tendencia al 95 % |
|
MIROC RCP2.6 |
413 |
2,13 |
0,027 |
Significante |
Tendencia positiva al 95 % |
|
CNRM RCP2.6 |
272 |
1,4 |
0,010 |
Significante |
Sin tendencia al 95 % |
|
CSIRO RCP8.5 |
565 |
2,92 |
0,069 |
Significante |
Tendencia positiva al 95 % |
|
MIROC RCP8.5 |
576 |
2,98 |
0,046 |
Significante |
Tendencia positiva al 95 % |
|
CNRM RCP8.5 |
456 |
2,36 |
0,023 |
Significante |
Tendencia positiva al 95 % |
En la tabla 7, se registran las pruebas no paramétricas para cada uno de los modelos empleados de CSIRO RCP2.6, MIROC RCP2.6, CNRM RCP2.6, CSIRO RCP8.5, MIROC RCP8.5, CNRM RCP8.5, para los valores de temperatura máxima obtenidos mediante la corrección delta para el periodo 2006-2075.
Tabla 8
Prueba no paramétrica (pendiente Sen-Mann-Kendall) para los valores de temperatura máxima obtenidos mediante la corrección LS, para el periodo 2006-2075
|
Modelo |
S |
Z |
Sen’s Slope |
Significancia |
Tendencia |
|
CSIRO RCP2.6 |
374 |
1,93 |
0,023 |
Significante |
Sin tendencia al 95 % |
|
MIROC RCP2.6 |
417 |
2,15 |
0,027 |
Significante |
Tendencia positiva al 95 % |
|
CNRM RCP2.6 |
272 |
1,4 |
0,01 |
Significante |
Sin tendencia al 95 % |
|
CSIRO RCP8.5 |
563 |
2,91 |
0,069 |
Significante |
Tendencia positiva al 95 % |
|
MIROC RCP8.5 |
576 |
2,98 |
0,046 |
Significante |
Tendencia positiva al 95 % |
|
CNRM RCP8.5 |
456 |
2,36 |
0,023 |
Significante |
Tendencia positiva al 95 % |
En la tabla 8, se registran las pruebas no paramétricas para cada uno de los modelos empleados de CSIRO RCP2.6, MIROC RCP2.6, CNRM RCP2.6, CSIRO RCP8.5, MIROC RCP8.5, CNRM RCP8.5 para los valores de temperatura máxima obtenidos mediante la corrección LS para el periodo 2006-2075.
Temperatura mínima en el periodo 1975-2075
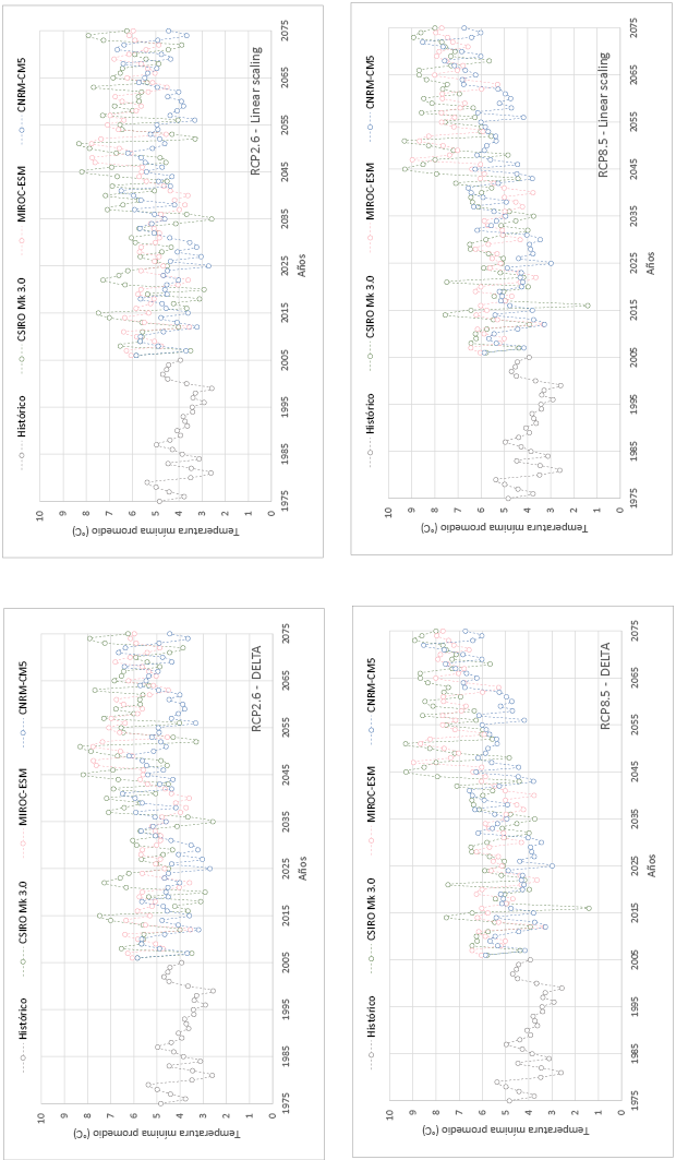
La temperatura mínima mensual proyectada por periodos con el modelo CSIRO Mk 3.0, MIROC-ESM y CNRM-CM5, así como los dos métodos estadísticos de corrección, se presentan en las figuras 14, 15 y 16, respectivamente. La figura 17 (a-b-c-d) muestra la temperatura mínima anual proyectada para los modelos climáticos globales CSIRO Mk 3.0, MIROC-ESM y CNRM-CM5 para el periodo 1975-2075, con corrección delta y LS. Las proyecciones de las temperaturas mínimas exhiben incrementos significativos, según el análisis no paramétrico de Sen-Mann-Kendall, alcanzando aumentos de hasta 3 a 3,5 °C en los escenarios RCP8.5, con distribuciones uniformes en el modelo CSIRO Mk 3.0. Asimismo, ambos métodos de corrección brindan similares distribuciones mensuales de proyecciones.
Figura 14
Temperatura mínima mensual proyectada por periodos con el modelo CSIRO Mk 3.0 y dos métodos de corrección

Figura 15
Temperatura mínima mensual proyectada por periodos con el modelo MIROC-ESM y dos métodos de corrección

Figura 16
Temperatura mínima mensual proyectada por periodos con el modelo CNRM-CM5 y dos métodos de corrección

Figura 17
Temperatura mínima anual proyectada para los modelos climáticos globales del periodo 1975-2075, con corrección delta (panel izquierdo) y LS (panel derecho)

Tabla 9
Prueba no paramétrica (pendiente Sen-Mann-Kendall) para los valores de temperatura mínima obtenidos mediante la corrección delta para el periodo 2006-2075
|
Modelo |
S |
Z |
Sen’s Slope |
Significancia |
Tendencia |
|
CSIRO RCP2.6 |
334 |
1,69 |
0,014 |
No significante |
Sin tendencia al 95 % |
|
MIROC RCP2.6 |
266 |
1,37 |
0,011 |
Significante |
Sin tendencia al 95 % |
|
CNRM RCP2.6 |
197 |
1,02 |
0,007 |
Significante |
Sin tendencia al 95 % |
|
CSIRO RCP8.5 |
581 |
3 |
0,047 |
Significante |
Tendencia positiva al 95 % |
|
MIROC RCP8.5 |
485 |
2,51 |
0,038 |
Significante |
Tendencia positiva al 95 % |
|
CNRM RCP8.5 |
564 |
2,92 |
0,035 |
Significante |
Tendencia positiva al 95 % |
En la tabla 9, se registran las pruebas no paramétricas para cada uno de los modelos empleados de CSIRO RCP2.6, MIROC RCP2.6, CNRM RCP2.6, CSIRO RCP8.5, MIROC RCP8.5, CNRM RCP8.5, para los valores de temperatura mínima obtenidos mediante la corrección delta para el periodo 2006-2075.
Tabla 10
Prueba no paramétrica (pendiente Sen-Mann-Kendall) para los valores de temperatura mínima obtenidos mediante la corrección LS para el periodo 2006-2075
|
Modelo |
S |
Z |
Sen’s Slope |
Significancia |
Tendencia |
|
CSIRO RCP2.6 |
334 |
1,69 |
0,014 |
No significante |
Sin tendencia al 95 % |
|
MIROC RCP2.6 |
266 |
1,37 |
0,011 |
Significante |
Sin tendencia al 95 % |
|
CNRM RCP2.6 |
195 |
1 |
0,007 |
Significante |
Sin tendencia al 95 % |
|
CSIRO RCP8.5 |
583 |
3,01 |
0,047 |
Significante |
Tendencia positiva al 95 % |
|
MIROC RCP8.5 |
495 |
2,56 |
0,038 |
Significante |
Tendencia positiva al 95 % |
|
CNRM RCP8.5 |
540 |
2,79 |
0,034 |
Significante |
Tendencia positiva al 95 % |
En la tabla 10, se registran las pruebas no paramétricas para cada uno de los modelos empleados de CSIRO RCP2.6, MIROC RCP2.6, CNRM RCP2.6, CSIRO RCP8.5, MIROC RCP8.5, CNRM RCP8.5, para los valores de temperatura mínima obtenidos mediante la corrección LS para el periodo 2006-2075.
Los resultados del valle de Jauja para el periodo observado (1975-2005) muestran que la correlación de los modelos MIROC-ESM, CSIRO Mk 3.0 y CNRM-CM5 para cada una de las variables de precipitación, temperatura máxima y mínima con valores moderados de correlación de Pearson es de 0,79, 0,50 y 0,821, respectivamente. Además, las proyecciones de precipitación por el modelo MIROC-ESM no presentan variaciones significativas en el periodo proyectado, 2006-2075, para los escenarios RCP2.6 y RCP8.5 y modelos de corrección de precipitación y temperatura; sin embargo, los demás modelos sugieren reducciones significativas, mas no en tendencia en el 95 % de los datos. Respecto a las proyecciones de temperaturas máximas, el modelo CSIRO Mk 3.0 exhibe incrementos significativos en el escenario RCP8.5, de hasta 3,5 °C, así como en el escenario RCP2.6, mas no es una tendencia en el 95 % de los datos. Las temperaturas mínimas proyectadas cuentan con un significante incremento, según el modelo CNRM-CM5, de hasta 2,0 °C para el escenario RCP2,6, y de hasta 3,5 °C para el escenario RCP8.5.
CONCLUSIONES
Los resultados obtenidos a través de los modelos MIROC-ESM, CSIRO Mk 3.0 y CNRM-CM5 coinciden razonablemente bien con los conjuntos de datos de observación en el valle de Jauja, pero con distribuciones mensuales muy diferenciadas durante el año promedio. El modelo MIROC-ESM se presenta con un aumento de temperatura en los meses que corresponden a la estación de invierno. Por otro lado, el modelo CNRM-CM5 exhibe un comportamiento desigual al observado en la mayoría de los meses de la segunda mitad del año; y el modelo CSIRO Mk 3.6 muestra un mayor gradiente de disminución de temperatura en los meses de invierno con respecto a los valores observados. Los experimentos de reducción de escala en este valle no tienen un impacto negativo en la usabilidad de la información producida aquí. Los cambios proyectados de temperatura y precipitación durante la temporada de lluvias que se presentan en este estudio indican un alto nivel de consenso para los aumentos tanto de temperatura como de precipitación durante la temporada de lluvias a fines del siglo xxi. Las respuestas del clima se encuentran dentro del rango plausible de escenarios climáticos futuros predichos por el conjunto de modelos acoplados CMIP5, lo que brinda confianza en su uso para estudios de adaptación y modelado de impactos de aguas abajo, como un ejemplo de buenas prácticas en la generación de datos climáticos futuros. En escalas de tiempo diarias, es posible que aumenten las precipitaciones extremas al día en un número menor de días en el futuro, lo que eleva el riesgo de inundaciones graves en un clima cambiante.
Finalmente, los escenarios evaluados sugieren que con el incremento de concentración de CO2 en la atmósfera hasta niveles ponderados por el escenario RCP2.6 se producirán incrementos en la temperatura de hasta 2 °C hacia el año 2075, mas no se generarán significativas variaciones de precipitación acumulada anual. Sin embargo, de alcanzar los límites del escenario RCP8.5, es probable un incremento de hasta 3,5 °C en las temperaturas y una posible reducción de la precipitación en los últimos meses del año y aumento en los meses de verano (enero y febrero); esto resulta en una reducción anual de la precipitación acumulada. Los métodos de corrección empleados presentaron significativas diferencias en sus valores proyectados en la variable de precipitación, pero no en las temperaturas.
REFERENCIAS
Andersen, L. E., Breisinger, C., Jemio, L. C., Mason-D’Croz, D., Ringler, C., Robertson, R. D., Verner, D., & Wiebelt, M. (2016). Climate change impacts: prospects for 2050 in Brazil, Mexico, and Peru. International Food Policy Research Institute. https://doi.org/10.2499/9780896295810
Aumont, O., & Bopp, L. (2006). Globalizing results from ocean in situ iron fertilization studies. Global Biogeochemical Cycles, 20(2), 1-15. https://doi.org/10.1029/2005GB002591
Autoridad Nacional del Agua. (2010). Proyecto “Obras de control y medición de agua por bloques de riego en el valle Guadalupito”: estudio de preinversión a nivel de perfil. MINAG/ANA. https://repositorio.ana.gob.pe/handle/20.500.12543/2233
Autoridad Nacional del Agua. (2014). Inventario nacional de glaciares y lagunas. http://www.ana.gob.pe/media/981508/glaciares.pdf
Brunet, M., Saladié, O., Jones, P., Sigró, J., Aguilar, E., Moberg, A., Lister, D., Walther, A. M., Lopez, D., & Almarza, C. (2006). The development of a new dataset of Spanish daily adjusted temperature series (SDATS) (1850-2003). International Journal of Climatology, 26, 1777-1802. https://doi.org/10.1002/joc.1338
Cariolle, D., & Teyssèdre, H. (2007). A revised linear ozone photochemistry parameterization for use in transport and general circulation models: multi-annual simulations. Atmospheric Chemistry and Physics, 7(9), 2183-2196. https://doi.org/10.5194/acp-7-2183-2007
Chaudhary, D. P., Ashwani K., Mandhania, S. S., Srivastava, P., & Kumar, R. S. (2012). Maize as fodder? An alternative approach [Boletín técnico, 04]. Directorate of Maize Research.
Côté, M., & Texeira, S. (2012). Integración del cambio climático en los procesos nacionales de desarrollo y en la programación de países de las Naciones Unidas. Programa de las Naciones Unidas para el Cambio Climático. http://www.undp.org/content/dam/undp/library/Environment and Energy/Climate Change/Capacity Development/PNUD-GuíaCambioClimáticoES-Web.pdf
Eisner, S., Voss, F., & Kynast, E. (2012). Statistical bias correction of global climate projections – consequences for large scale modeling of flood flows. Advances in Geosciences, 31, 75-82. https://doi.org/10.5194/adgeo-31-75-2012
Fang, G. H., Yang, J., Chen, Y. N., & Zammit, C. (2015). Comparing bias correction methods in downscaling meteorological variables for a hydrologic impact study in an arid area in China. Hydrology and Earth System Sciences, 19(6), 2547-2559. https://doi.org/10.5194/hess-19-2547-2015
Frölicher, T. L., Sarmiento, J. L., , Paynter, D. J., Dunne, J. P., Krasting, J. P., & Winton, M. (2015). Dominance of the Southern Ocean in anthropogenic carbon and heat uptake in CMIP5 models. Journal of Climate, 28(2), 862-886. https://doi.org/10.1175/JCLI-D-14-00117.1
Gordon, H. B., Rotstayn, L. D., McGregor, J. L., Dix, M. R., Kowalczyk, E. A., O’Farrell, S. P., Waterman, L. J., Hirst, A. C., Wilson, S. G., Collier, M. A., Watterson, I. G., & Elliott, T. I. (2002). The CSIRO Mk3 climate system model [Informe]. CSIRO Atmospheric Research. http://scholar.google.com/scholar?hl=en&btnG=Search&q=intitle:The+CSIRO+Mk3+Climate+System+Model#0
Instituto Geofísico del Perú. (s. f.). El clima en el Perú. Jauja. http://met.igp.gob.pe/clima/HTML/jauja.html
Instituto Geofísico del Perú. (2005). Atlas climático de precipitación y temperatura del aire en la cuenca del río Mantaro. https://repositorio.igp.gob.pe/handle/20.500.12816/714
Instituto Nacional de Estadística e Informática. (2017). Perú: evolución de los indicadores de empleo e ingresos por departamennto, 2007-2016. https://www.inei.gob.pe/media/MenuRecursivo/publicaciones_digitales/Est/Lib1441/libro.pdf
Instituto Nacional de Estadística e Informática. (2019). Perú: evolución de los indicadores de empleo e ingresos por departamento, 2007-2018. https://www.inei.gob.pe/media/MenuRecursivo/publicaciones_digitales/Est/Lib1678/libro.pdf
Intergovernmental Panel on Climate Change. (2014). Fifth Assessment Report (AR5). https://archive.ipcc.ch/report/ar5/index.shtml
Intergovernmental Panel on Climate Change. (2018). Global warming of 1.5°C [Informe especial]. https://www.ipcc.ch/sr15/
Jain, T. B., Pilliod, D. S., Graham, R. T., Lentile, L. B., & Sandquist, J. E. (2012). Index for characterizing post-fire soil environments in temperate coniferous forests. Forests, 3, 445-466. https://doi.org/10.3390/f3030445
Janes, T., McGrath, F., Macadam, I., & Jones, R. (2019). High-resolution climate projections for South Asia to inform climate impacts and adaptation studies in the Ganges-Brahmaputra-Meghna and Mahanadi Deltas. Science of the Total Environment, 650, 1499-1520. https://doi.org/10.1016/j.scitotenv.2018.08.376
Kumar, M., Bhatt, V. P., & Rajwar, G. S. (2006). Plant and soil diversities in a sub tropical forest of the Garhwal Himalaya. Ghana Journal of Forestry, 19-20, 1-19. https://doi.org/10.4314/gjf.v19i1.36907
Kumar, V., & Ladha, J. K. (2011). Chapter six – Direct seeding of rice: recent developments and future research needs. En Advances in agronomy. Volume 111 (D. L. Sparks, Ed.; pp. 297-413). Academic Press. http://dx.doi.org/10.1016/B978-0-12-387689-8.00001-1.
Laufkötter, C., Vogt, M., Gruber, N., Aita-Noguchi, M., Aumont, O., Bopp, L., Buitenhuis, E., Doney, S. C., Dunne, J., Hashioka, T., Hauck, J., Hirata, T., John, J., Le Quéré, C., Lima, I. D., Nakano, H., Seferian, R., Totterdell, I., Vichi, M., & Völker, C. (2015). Drivers and uncertainties of future global marine primary production in marine ecosystem models. Biogeosciences, 12(23), 6955-6984. https://doi.org/10.5194/bg-12-6955-2015
Lenderink, G., Buishand, A., & Van Deursen, W. (2007). Estimates of future discharges of the river Rhine using two scenario methodologies: direct versus delta approach. Hydrology and Earth System Sciences, 11(3), 1145-1159. https://doi.org/10.5194/hess-11-1145-2007
Mello, C. R., Ávila, L. F., Viola, M. R., Curi, N., & Darrel, N. Ll. (2015). Assessing the climate change impacts on the rainfall erosivity throughout the twenty-first century in the Grande River Basin (GRB) headwaters, Southeastern Brazil. Environmental Earth Sciences, 73(12), 8683-8698. http://dx.doi.org/10.1007/s12665-015-4033-3
Ministerio del Ambiente. (2010). El Perú y el cambio climático. Segunda comunicación nacional del Perú a la Convención Marco de las Naciones Unidas sobre Cambio Climático. https://sinia.minam.gob.pe/documentos/segunda-comunicacion-nacional-peru-convencion-marco-las-naciones
Moss, R. H., Edmonds, J. A., Hibbard, K. A., Manning, M. R., Rose, S. K., Van Vuuren, D. P., Carter, T. R., Emori, S., Kainuma, M., Kram, T., Meehl, G. A., Mitchell, J. F. B., Nakicenovic, N., Riahi, K., Smith, S. J., Stouffer, R. J., Thomson, A. M., Weyant, J. P., & Wilbanks, T. J. (2010). The next generation of scenarios for climate change research and assessment. Nature, 463(7282), 747-756. http://dx.doi.org/10.1038/nature08823
Ramos Jáuregui, L. Y. (2014). Estimación del efecto del cambio climático en la precipitación en la costa norte del Perú usando simulaciones de modelo climáticos globales [Tesis de licenciatura, Universidad Agraria La Molina]. Repositorio Geofísico Nacional. http://repositorio.igp.gob.pe/handle/IGP/84
Ravindranath, N., Rao, S., Sharma, N., Nair, M., Gopalakrishnan, R., Rao, A., Malaviya, S., Tiwari, R., Sagadevan, A., Munsi, M., Krishna, N., & Govindasamy, B. (2011). Climate change vulnerability profiles for North East India. Current Science, 101, 384-394. https://ssrn.com/abstract=2140671
Schwinger, J., Tjiputra, J. F., Heinze, C., Bopp, L., Christian, J. R., Gehlen, M., Ilyina, T., Jones, C. D., Salas-Mélia, D., Segschneider, J., Séférian, R., & Totterdell, I. (2014). Nonlinearity of ocean carbon cycle feedbacks in CMIP5 Earth system models. Journal of Climate, 27(11), 3869-3888. https://doi.org/10.1175/JCLI-D-13-00452.1
Séférian, R., Bopp, L., Gehlen, M., Orr, J. C., Ethé, C., Cadule, P., Aumont, O., Salas-Mélia, D., Voldoire, A., & Madec, G. (2013). Skill assessment of three Earth system models with common marine biogeochemistry. Climate Dynamics, 40(9-10), 2549-2573. https://doi.org/10.1007/s00382-012-1362-8
Séférian, R., Ribes, A., & Bopp, L. (2014). Detecting the anthropogenic influences on recent changes in ocean carbon uptake. Geophysical Research Letters, 41(16), 5968-5977. https://doi.org/10.1002/2014GL061223
Sharmila, S., Joseph, S., Sahai, A. K., Abhilash, S., & Chattopadhyay, R. (2015). Future projection of Indian summer monsoon variability under climate change scenario: an assessment from CMIP5 climate models. Global and Planetary Change, 124, 62-78. https://doi.org/10.1016/j.gloplacha.2014.11.004
Taylor, K. E., Stouffer, R. J., & Meehl, G. A. (2012). An overview of CMIP5 and the experiment design. Bulletin of the American Meteorological Society, 93(4), 485-498. https://doi.org/10.1175/BAMS-D-11-00094.1
Thomas, D. S. G., Twyman, Ch., Osbahr, H. & Hewitson, B. (2011). Adaptation to climate change and variability: farmer responses to intra-seasonal precipitation trends in South Africa. En C. Williams & D. Kniveton (Eds.), African Climate and Climate Change. Advances in Global Change Research (vol. 43, pp. 155-178). Springer. https://doi.org/10.1007/978-90-481-3842-5_7
Thomson, A. M., Calvin, K. V., Smith, S. J., Kyle, G. P., Volke, A., Patel, P., Delgado-Arias, S., Bond-Lamberty, B., Wise, M. A., Clarke, L. E., & Edmonds, J. A. (2011). RCP4.5: a pathway for stabilization of radiative forcing by 2100. Climatic Change, 109(1), 77-94. https://doi.org/10.1007/s10584-011-0151-4
Voldoire, A., Sánchez-Gómez, E., Salas-Mélia, D., Decharme, B., Cassou, C., Sénési, S., Valcke, S., Beau, I., Alias, A., Chevallier, M., Déqué, M., Deshayes, J., Douville, H., Fernández, H., Madec, G., Maisonnave, E., Moine, M.-P., Planton, S., Saint-Martin, D., Szopa, S., Tyteca, … Chauvin, F. (2013). The CNRM-CM5.1 global climate model: description and basic evaluation. Climate Dynamics, 40(9-10), 2091-2121. https://doi.org/10.1007/s00382-011-1259-y
Watanabe, S., Hajima, T., Sudo, K., Nagashima, T., Takemura, T., Okajima, H., Nozawa, T., Kawase, H., Abe, M., Yokohata, T., Ise, T., Sato, H., Kato, E., Takata, K., Emori, S., & Kawamiya, M. (2011). MIROC-ESM 2010: model description and basic results of CMIP5-20c3m experiments. Geoscientific Model Development, 4(4), 845-872. https://doi.org/10.5194/gmd-4-845-2011
Wild, M., Folini, D., Schär, C., Loeb, N., Dutton, E. G., & König-Langlo, G. (2013). The global energy balance from a surface perspective. Climate Dynamics, 40(11-12), 3107-3134. https://doi.org/10.1007/s00382-012-1569-8